🇳🇴 🇬🇧 🇩🇪 🇨🇿 🇫🇮

Meteor über Ed 2020-09-02 19:36:51 UTC

KML-Datei  |  Interaktive Karte

Die Karte zeigt die Peilungen für den Meteor. Die helleren Linien zeigen die Richtungen von den Beobachtungsorten beim Erscheinen des Meteors, und die dunkleren Linien, wo er zuletzt gesehen wurde. Der blaue Pfeil zeigt die sichtbare Bahn des Meteors.

static map
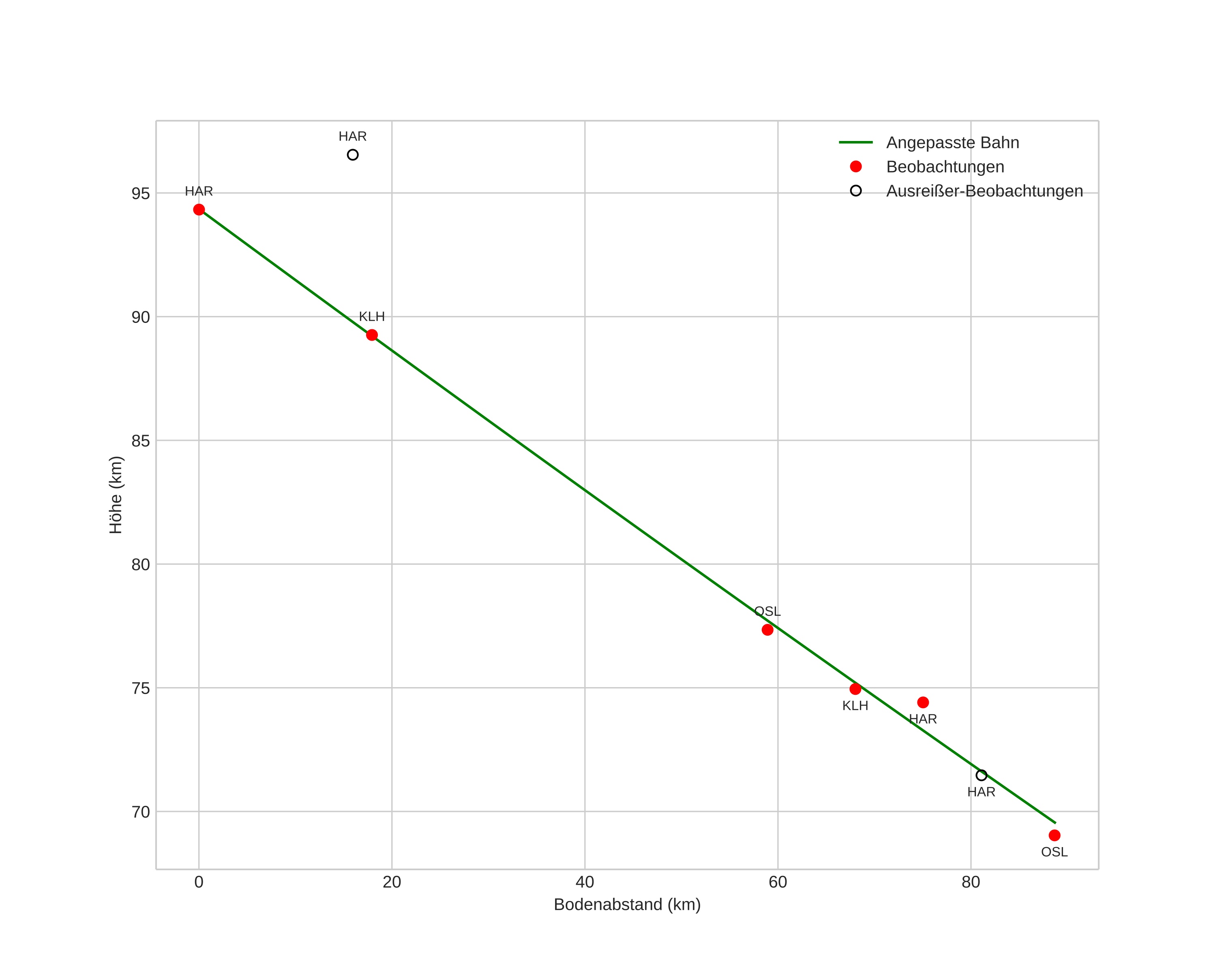
height profile
Atmosphärische Bahn des Meteors:
Anfangshöhe: 99,6 km
Endhöhe: 70,0 km
Startposition: 58,226N 13,095E
Endposition: 58,870N 11,703E
Richtung: 312,1°
Neigungswinkel: 15,3°
Eintrittsgeschwindigkeit: 49,6 km/s
Rektaszension des Radianten: 22:22 (335,6°)
Deklination des Radianten: -7,8°
Meteorstrom: sporadisch
Bahnelemente des Meteoroiden:
Periheldistanz: 0,467 AU
Exzentrizität: 1,931
Inklination: 3,0°
Länge des aufsteigenden Knotens: 160,5°
Argument des Perihels: 259,4°
Mittlere Anomalie: -74,3°
Epoche: 2020 SEP 02 19:36:51
orbit plot

Nicht-interaktives Diagramm | Interaktives Diagramm

position vs time
speed and acceleration