🇳🇴 🇬🇧 🇩🇪 🇨🇿 🇫🇮

Meteor Edin yllä 2020-09-02 19:36:51 UTC

KML-tiedosto  |  Interaktiivinen kartta

Kartta näyttää meteorin suuntahavainnot. Vaaleammat viivat näyttävät suunnat havaintoasemilta meteorin ilmestyessä, ja tummemmat viivat näyttävät, missä se viimeksi nähtiin. Sininen nuoli näyttää meteorin näkyvän lennon.

static map
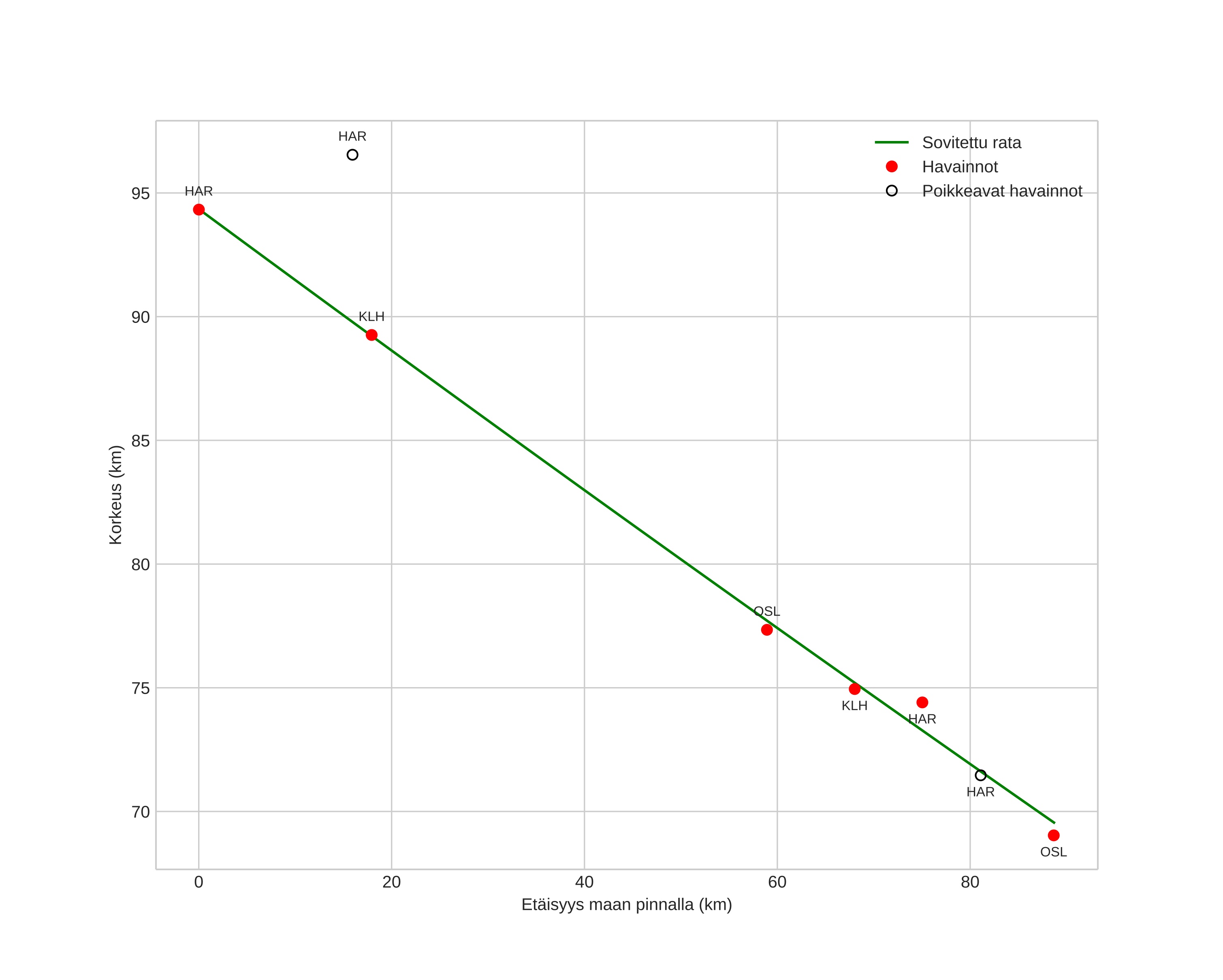
height profile
Meteorin ilmakehärata:
Alkukorkeus: 99,6 km
Loppukorkeus: 70,0 km
Alkupiste: 58,226N 13,095E
Loppupiste: 58,870N 11,703E
Suunta: 312,1°
Kallistuskulma: 15,3°
Tulonopeus: 49,6 km/s
Radiantin R,A,: 22:22 (335,6°)
Radiantin Dekl,: -7,8°
Meteoriparvi: Sporadinen
Meteoroidin rataelementit:
Perihelietäisyys: 0,467 AU
Eksentrisyys: 1,931
Inklinaatio: 3,0°
Nousevan solmun pituus: 160,5°
Perihelin argumentti: 259,4°
Keskianomalia: -74,3°
Epookki: 2020 SEP 02 19:36:51
orbit plot

Ei-interaktiivinen kuvaaja | Interaktiivinen kuvaaja

position vs time
speed and acceleration