🇳🇴 🇬🇧 🇩🇪 🇨🇿 🇫🇮

Meteor, poloha: Insjön 2020-09-19 19:33:22 UTC

Soubor KML  |  Interaktivní mapa

Mapa zobrazuje dráhy meteoru. Světlejší čáry ukazují směry od pozorovacích stanic při objevení se meteoru a tmavší čáry, kde byl naposledy viděn. Modrá šipka značí viditelnou dráhu meteoru.

static map
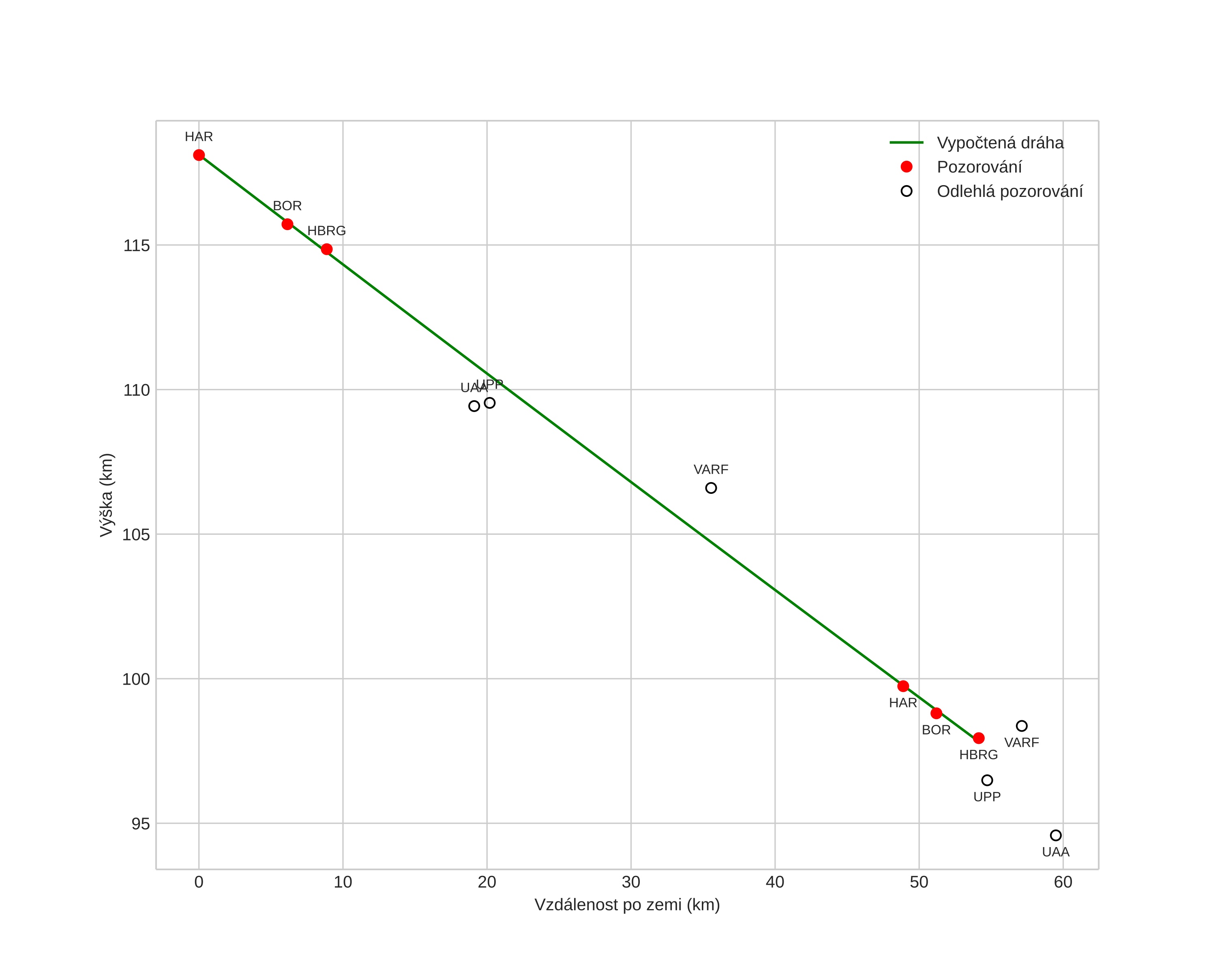
height profile
Atmosférická dráha meteoru:
Počáteční výška: 118,1 km
Konečná výška: 97,8 km
Počáteční poloha: 60,945N 16,118E
Konečná poloha: 60,683N 15,277E
Směr: 237,8°
Sklon: 20,6°
Vstupní rychlost: 73,0 km/s
Rektascenze radiantu: 03:48 (57,0°)
Deklinace radiantu: 32,9°
Meteorický roj: september-epsilon-perseidene
Elementy dráhy meteoroidu:
Vzdálenost v periheliu: 0,664 AU
Excentricita: 1,407
Sklon dráhy: 155,2°
Délka vzestupného uzlu: 177,0°
Argument perihelia: 245,2°
Střední anomálie: -14,7°
Epocha: 2020 SEP 19 19:33:22
orbit plot

Neinteraktivní graf | Interaktivní graf

position vs time
speed and acceleration