🇳🇴 🇬🇧 🇩🇪 🇨🇿 🇫🇮

Meteor über Insjön 2020-09-19 19:33:22 UTC

KML-Datei  |  Interaktive Karte

Die Karte zeigt die Peilungen für den Meteor. Die helleren Linien zeigen die Richtungen von den Beobachtungsorten beim Erscheinen des Meteors, und die dunkleren Linien, wo er zuletzt gesehen wurde. Der blaue Pfeil zeigt die sichtbare Bahn des Meteors.

static map
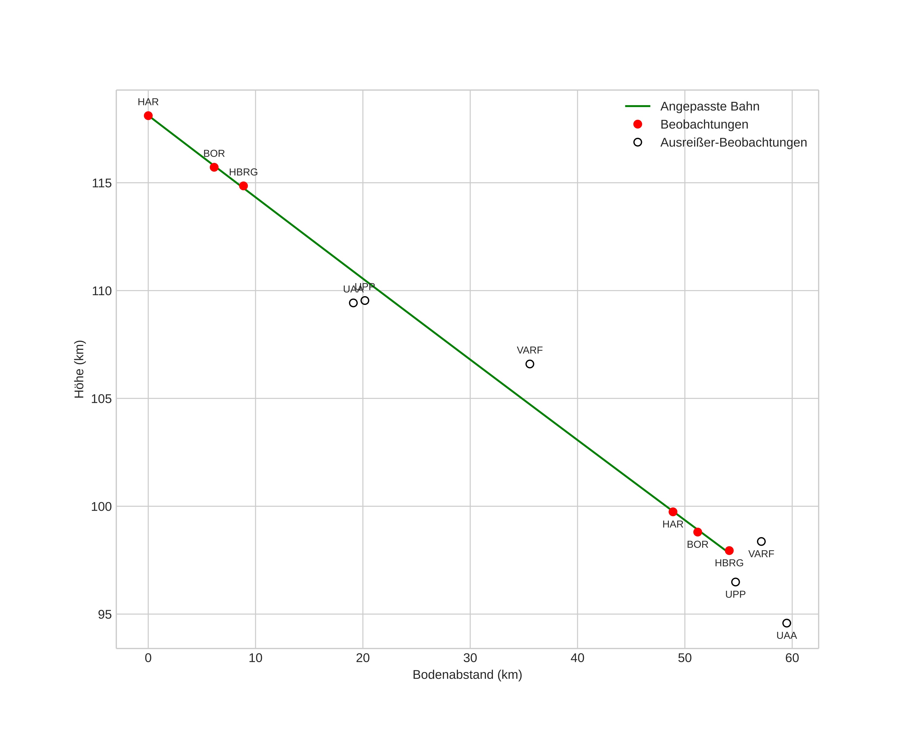
height profile
Atmosphärische Bahn des Meteors:
Anfangshöhe: 118,1 km
Endhöhe: 97,8 km
Startposition: 60,945N 16,118E
Endposition: 60,683N 15,277E
Richtung: 237,8°
Neigungswinkel: 20,6°
Eintrittsgeschwindigkeit: 73,0 km/s
Rektaszension des Radianten: 03:48 (57,0°)
Deklination des Radianten: 32,9°
Meteorstrom: september-epsilon-perseidene
Bahnelemente des Meteoroiden:
Periheldistanz: 0,664 AU
Exzentrizität: 1,407
Inklination: 155,2°
Länge des aufsteigenden Knotens: 177,0°
Argument des Perihels: 245,2°
Mittlere Anomalie: -14,7°
Epoche: 2020 SEP 19 19:33:22
orbit plot

Nicht-interaktives Diagramm | Interaktives Diagramm

position vs time
speed and acceleration