🇳🇴 🇬🇧 🇩🇪 🇨🇿 🇫🇮

Meteor over Insjön 2020-09-19 19:33:22 UTC

KML file

The map shows the bearings for the meteor. The lighter lines show the directions from the observation sites at the meteor's appearance, and the darker lines show where it was last seen. The blue arrow indicates the visible path of the meteor.

static map
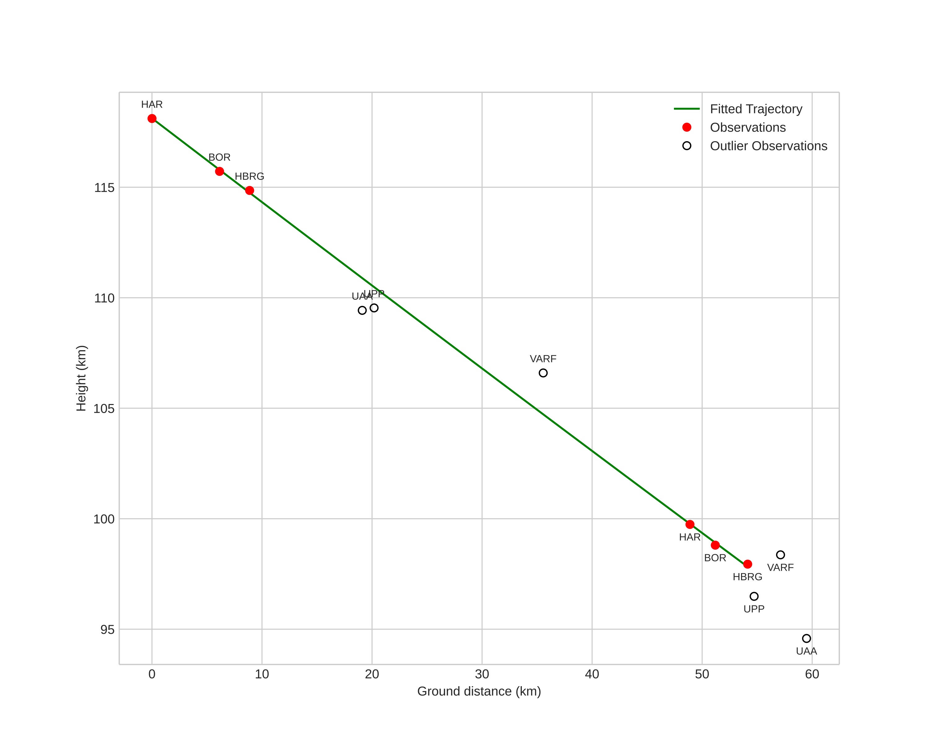
height profile
Meteor's Atmospheric Trajectory:
Start height: 118.1 km
End height: 97.8 km
Start position: 60.945N 16.118E
End position: 60.683N 15.277E
Direction: 237.8°
Inclination angle: 20.6°
Entry speed: 73.0 km/s
Radiant R.A.: 03:48 (57.0°)
Radiant Dec.: 32.9°
Meteor Shower: september-epsilon-perseidene
Meteoroid's Orbital Elements:
Perihelion distance: 0.664 AU
Eccentricity: 1.407
Inclination: 155.2°
Long. of Asc. Node: 177.0°
Argument of Perihelion: 245.2°
Mean Anomaly: -14.7°
Epoch: 2020 SEP 19 19:33:22
orbit plot

Non-interactive plot

position vs time
speed and acceleration

Harestua (HAR) cam3


gnomonic
Videos
• Gnomonic
• Gnomonic with coordinates
• Original
• Original with coordinates
Images
• Gnomonic
• Gnomonic with coordinates
• Uncorrected gnomonic with coordinates
• Gnomonic with labels
• Uncorrected gnomonic with labels
• Original
• Original with coordinates
• Original with mask
Text Files
• Detection
• Observation
• Coordinates
• Error Messages
Brightness