🇳🇴 🇬🇧 🇩🇪 🇨🇿 🇫🇮

Meteor, poloha: Sarpsborg 2020-10-14 01:30:13 UTC

Soubor KML  |  InteraktivnĂ­ mapa

Mapa zobrazuje dráhy meteoru. Světlejší čáry ukazují směry od pozorovacích stanic při objevení se meteoru a tmavší čáry, kde byl naposledy viděn. Modrá šipka značí viditelnou dráhu meteoru.

static map
height profile
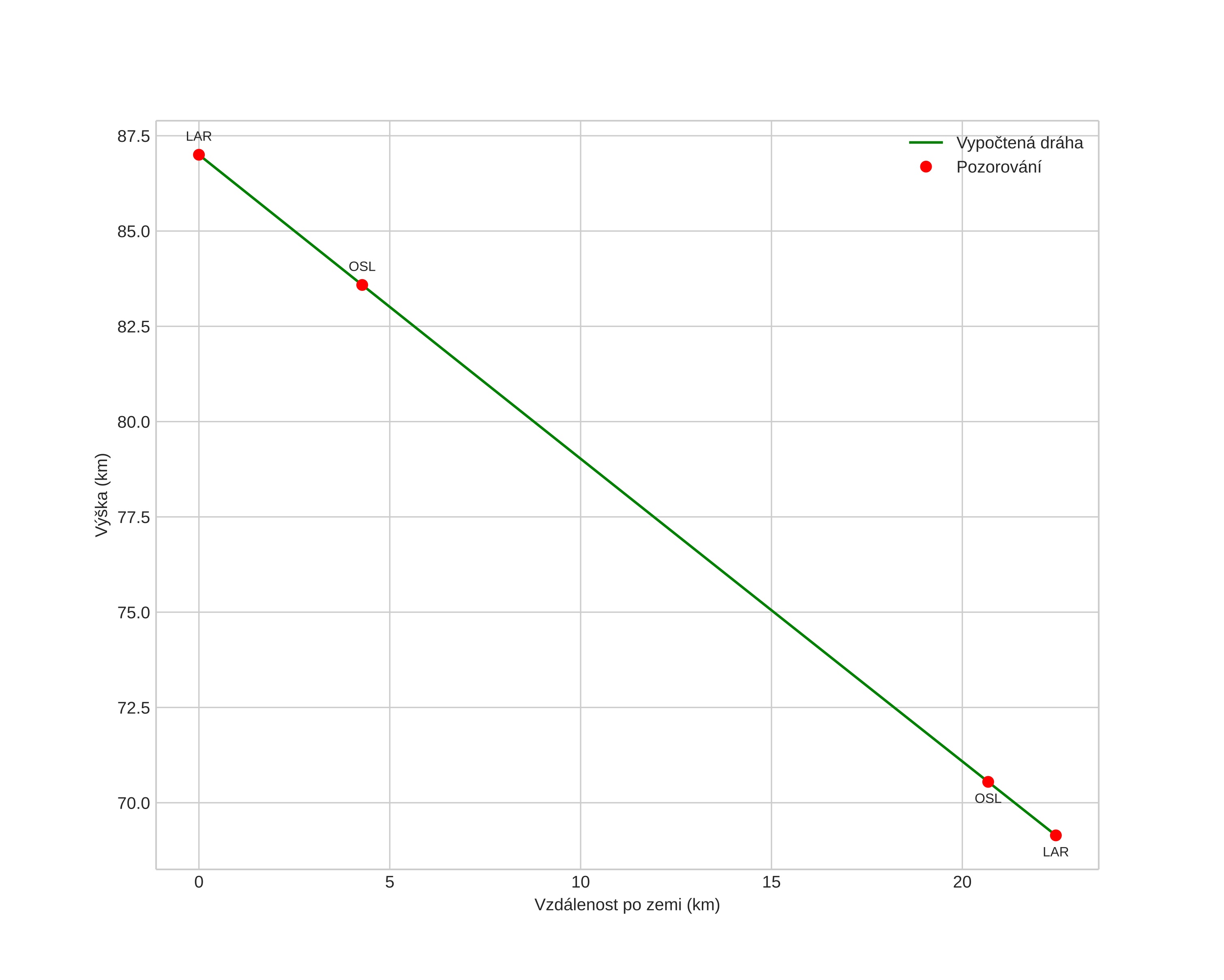
Atmosférická dráha meteoru:
Počáteční výška: 87,0 km
Konečná výška: 69,0 km
Počáteční poloha: 59,094N 10,760E
Konečná poloha: 59,236N 11,042E
Směr: 45,3°
Sklon: 38,6°
VstupnĂ­ rychlost: 25,2 km/s
Rektascenze radiantu: 01:17 (19,4°)
Deklinace radiantu: 11,7°
MeteorickĂ˝ roj: sporadickĂ˝
Elementy dráhy meteoroidu:
Vzdálenost v periheliu: 0,545 AU
Excentricita: 0,767
Sklon dráhy: 2,5°
Délka vzestupného uzlu: 200,9°
Argument perihelia: 272,5°
Střední anomálie: 347,6°
Epocha: 2020 OCT 14 01:30:13
orbit plot

NeinteraktivnĂ­ graf | InteraktivnĂ­ graf

position vs time
speed and acceleration