🇳🇴 🇬🇧 🇩🇪 🇨🇿 🇫🇮

Meteor über Sarpsborg 2020-10-14 01:30:13 UTC

KML-Datei  |  Interaktive Karte

Die Karte zeigt die Peilungen für den Meteor. Die helleren Linien zeigen die Richtungen von den Beobachtungsorten beim Erscheinen des Meteors, und die dunkleren Linien, wo er zuletzt gesehen wurde. Der blaue Pfeil zeigt die sichtbare Bahn des Meteors.

static map
height profile
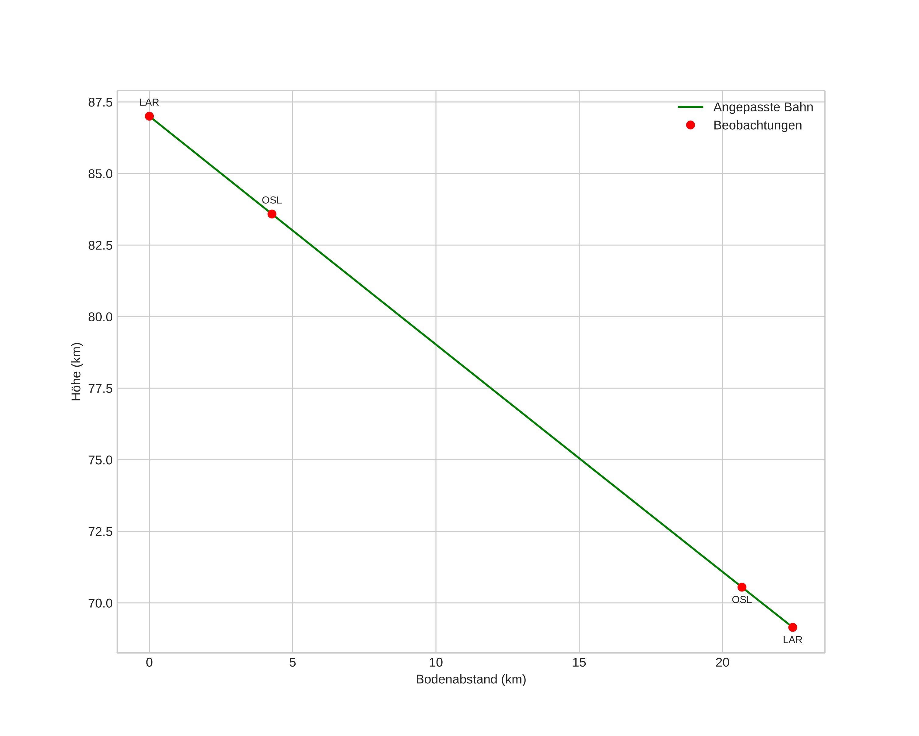
Atmosphärische Bahn des Meteors:
Anfangshöhe: 87,0 km
Endhöhe: 69,0 km
Startposition: 59,094N 10,760E
Endposition: 59,236N 11,042E
Richtung: 45,3°
Neigungswinkel: 38,6°
Eintrittsgeschwindigkeit: 25,2 km/s
Rektaszension des Radianten: 01:17 (19,4°)
Deklination des Radianten: 11,7°
Meteorstrom: sporadisch
Bahnelemente des Meteoroiden:
Periheldistanz: 0,545 AU
Exzentrizität: 0,767
Inklination: 2,5°
Länge des aufsteigenden Knotens: 200,9°
Argument des Perihels: 272,5°
Mittlere Anomalie: 347,6°
Epoche: 2020 OCT 14 01:30:13
orbit plot

Nicht-interaktives Diagramm | Interaktives Diagramm

position vs time
speed and acceleration