🇳🇴 🇬🇧 🇩🇪 🇨🇿 🇫🇮

Meteor Sarpsborgin yllä 2020-10-14 01:30:13 UTC

KML-tiedosto  |  Interaktiivinen kartta

Kartta näyttää meteorin suuntahavainnot. Vaaleammat viivat näyttävät suunnat havaintoasemilta meteorin ilmestyessä, ja tummemmat viivat näyttävät, missä se viimeksi nähtiin. Sininen nuoli näyttää meteorin näkyvän lennon.

static map
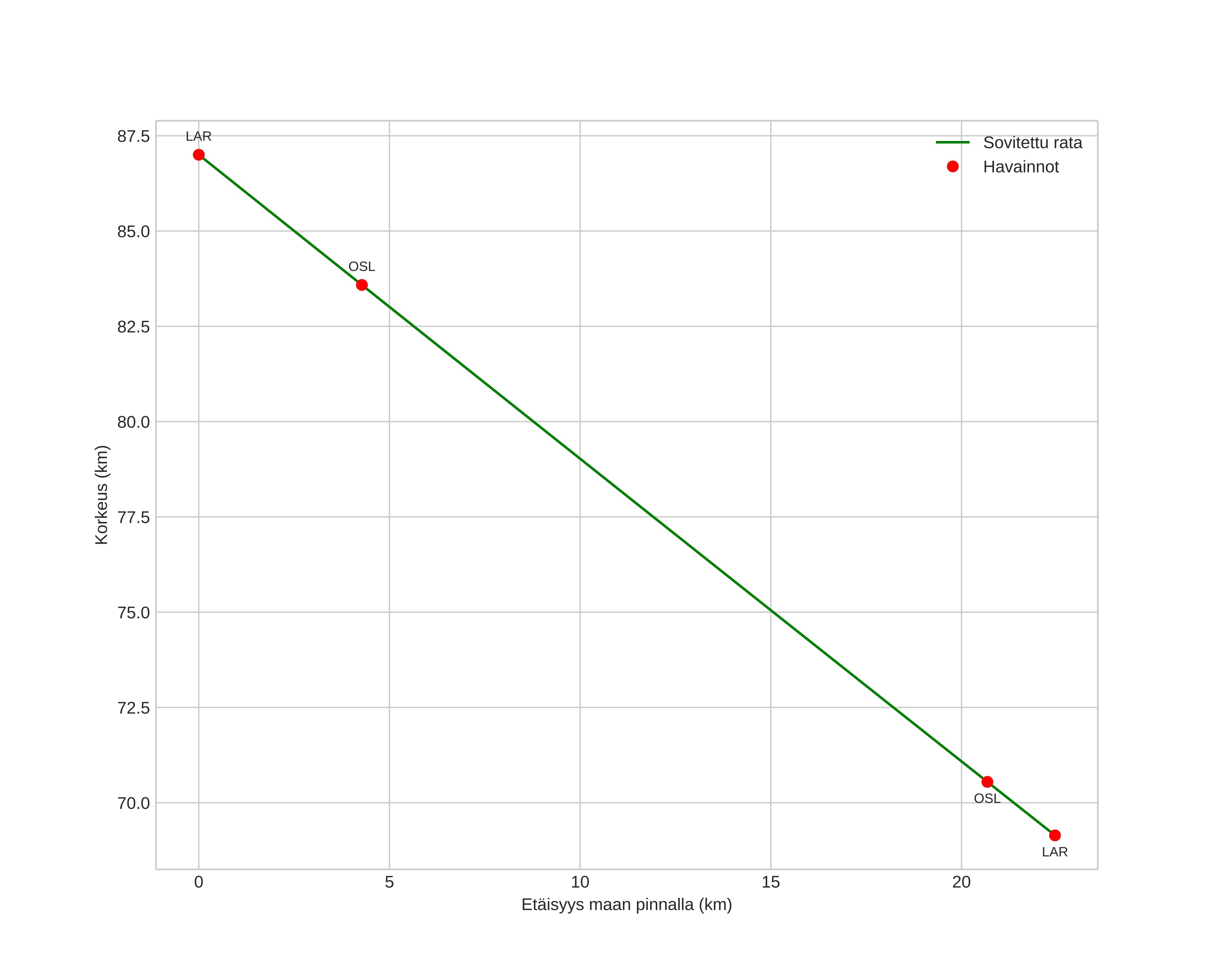
height profile
Meteorin ilmakehärata:
Alkukorkeus: 87,0 km
Loppukorkeus: 69,0 km
Alkupiste: 59,094N 10,760E
Loppupiste: 59,236N 11,042E
Suunta: 45,3°
Kallistuskulma: 38,6°
Tulonopeus: 25,2 km/s
Radiantin R,A,: 01:17 (19,4°)
Radiantin Dekl,: 11,7°
Meteoriparvi: Sporadinen
Meteoroidin rataelementit:
Perihelietäisyys: 0,545 AU
Eksentrisyys: 0,767
Inklinaatio: 2,5°
Nousevan solmun pituus: 200,9°
Perihelin argumentti: 272,5°
Keskianomalia: 347,6°
Epookki: 2020 OCT 14 01:30:13
orbit plot

Ei-interaktiivinen kuvaaja | Interaktiivinen kuvaaja

position vs time
speed and acceleration