🇳🇴 🇬🇧 🇩🇪 🇨🇿 🇫🇮

Meteor, poloha: Filipstad 2020-10-15 02:10:15 UTC

Soubor KML  |  InteraktivnĂ­ mapa

Mapa zobrazuje dráhy meteoru. Světlejší čáry ukazují směry od pozorovacích stanic při objevení se meteoru a tmavší čáry, kde byl naposledy viděn. Modrá šipka značí viditelnou dráhu meteoru.

static map
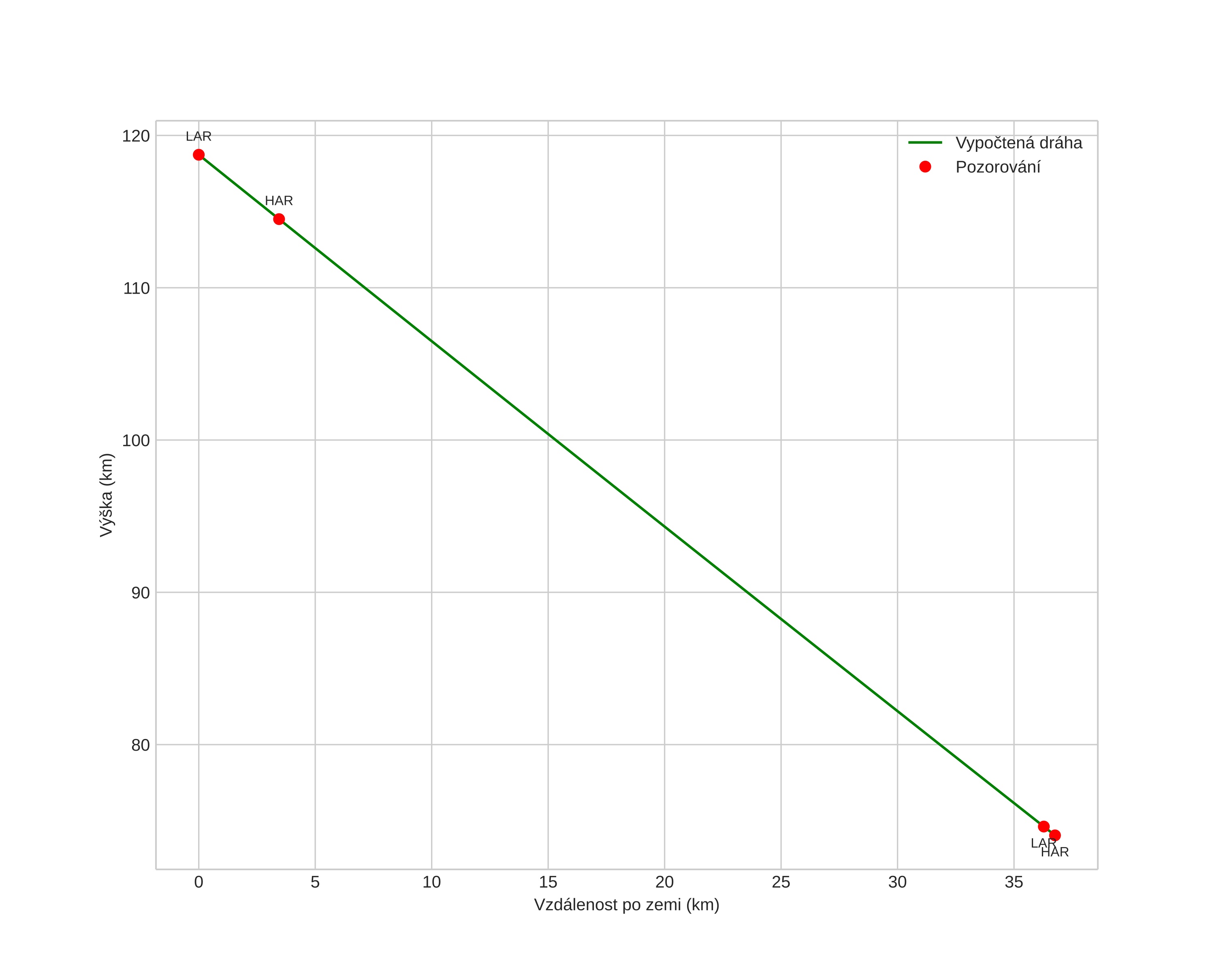
height profile
Atmosférická dráha meteoru:
Počáteční výška: 119,4 km
Konečná výška: 72,3 km
Počáteční poloha: 59,527N 14,744E
Konečná poloha: 59,548N 14,075E
Směr: 273,8°
Sklon: 51,3°
VstupnĂ­ rychlost: 70,4 km/s
Rektascenze radiantu: 08:25 (126,3°)
Deklinace radiantu: 40,5°
MeteorickĂ˝ roj: sporadickĂ˝
Elementy dráhy meteoroidu:
Vzdálenost v periheliu: 0,970 AU
Excentricita: 1,074
Sklon dráhy: 144,7°
Délka vzestupného uzlu: 201,9°
Argument perihelia: 161,3°
Střední anomálie: 0,3°
Epocha: 2020 OCT 15 02:10:15
orbit plot

NeinteraktivnĂ­ graf | InteraktivnĂ­ graf

position vs time
speed and acceleration