🇳🇴 🇬🇧 🇩🇪 🇨🇿 🇫🇮

Meteor über Filipstad 2020-10-15 02:10:15 UTC

KML-Datei  |  Interaktive Karte

Die Karte zeigt die Peilungen für den Meteor. Die helleren Linien zeigen die Richtungen von den Beobachtungsorten beim Erscheinen des Meteors, und die dunkleren Linien, wo er zuletzt gesehen wurde. Der blaue Pfeil zeigt die sichtbare Bahn des Meteors.

static map
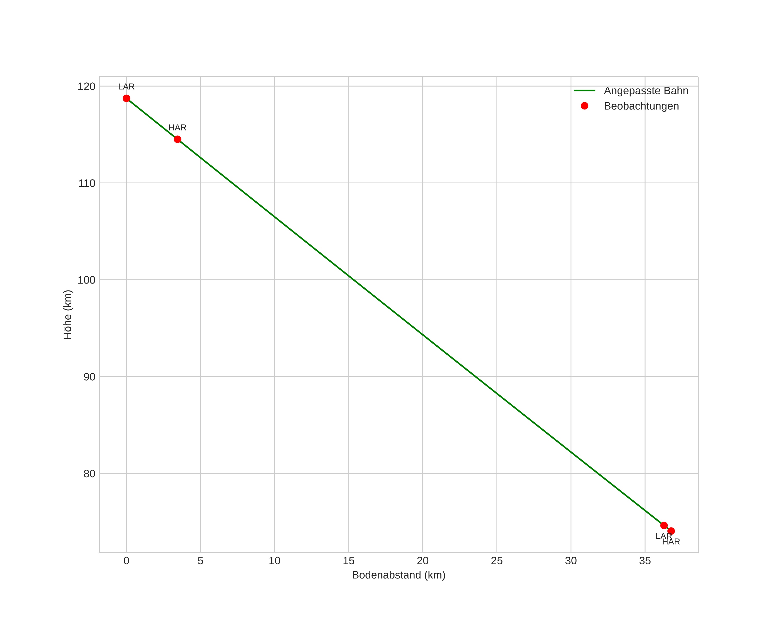
height profile
Atmosphärische Bahn des Meteors:
Anfangshöhe: 119,4 km
Endhöhe: 72,3 km
Startposition: 59,527N 14,744E
Endposition: 59,548N 14,075E
Richtung: 273,8°
Neigungswinkel: 51,3°
Eintrittsgeschwindigkeit: 70,4 km/s
Rektaszension des Radianten: 08:25 (126,3°)
Deklination des Radianten: 40,5°
Meteorstrom: sporadisch
Bahnelemente des Meteoroiden:
Periheldistanz: 0,970 AU
Exzentrizität: 1,074
Inklination: 144,7°
Länge des aufsteigenden Knotens: 201,9°
Argument des Perihels: 161,3°
Mittlere Anomalie: 0,3°
Epoche: 2020 OCT 15 02:10:15
orbit plot

Nicht-interaktives Diagramm | Interaktives Diagramm

position vs time
speed and acceleration