🇳🇴 🇬🇧 🇩🇪 🇨🇿 🇫🇮

Meteor Filipstadin yllä 2020-10-15 02:10:15 UTC

KML-tiedosto  |  Interaktiivinen kartta

Kartta näyttää meteorin suuntahavainnot. Vaaleammat viivat näyttävät suunnat havaintoasemilta meteorin ilmestyessä, ja tummemmat viivat näyttävät, missä se viimeksi nähtiin. Sininen nuoli näyttää meteorin näkyvän lennon.

static map
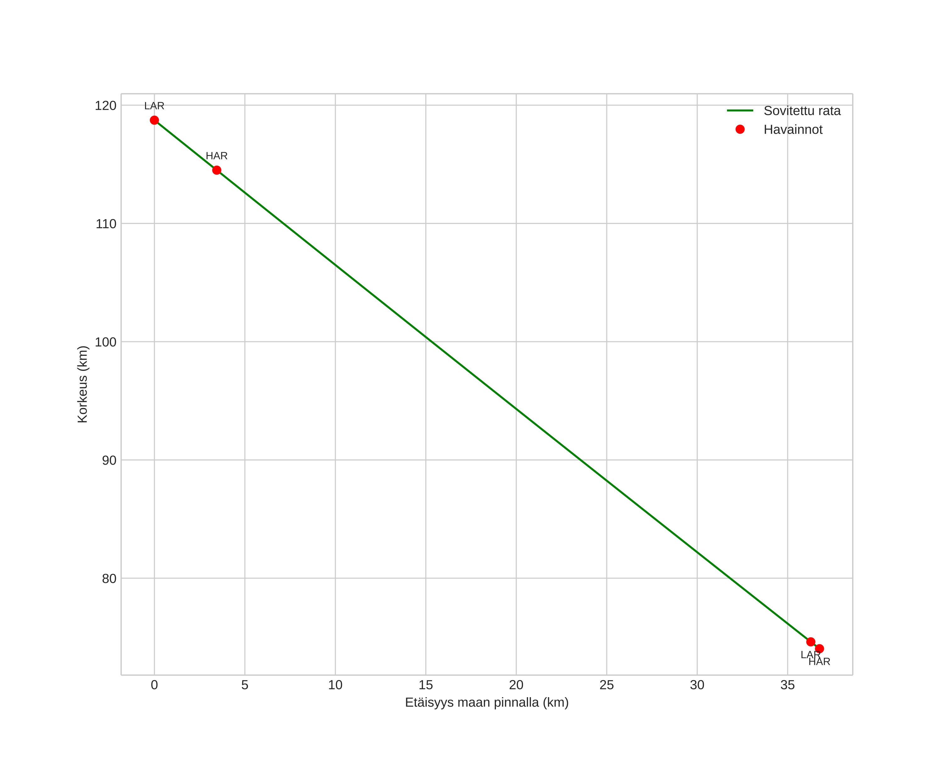
height profile
Meteorin ilmakehärata:
Alkukorkeus: 119,4 km
Loppukorkeus: 72,3 km
Alkupiste: 59,527N 14,744E
Loppupiste: 59,548N 14,075E
Suunta: 273,8°
Kallistuskulma: 51,3°
Tulonopeus: 70,4 km/s
Radiantin R,A,: 08:25 (126,3°)
Radiantin Dekl,: 40,5°
Meteoriparvi: Sporadinen
Meteoroidin rataelementit:
Perihelietäisyys: 0,970 AU
Eksentrisyys: 1,074
Inklinaatio: 144,7°
Nousevan solmun pituus: 201,9°
Perihelin argumentti: 161,3°
Keskianomalia: 0,3°
Epookki: 2020 OCT 15 02:10:15
orbit plot

Ei-interaktiivinen kuvaaja | Interaktiivinen kuvaaja

position vs time
speed and acceleration