🇳🇴 🇬🇧 🇩🇪 🇨🇿 🇫🇮

Meteor, poloha: Ed 2020-10-16 00:27:33 UTC

Soubor KML  |  InteraktivnĂ­ mapa

Mapa zobrazuje dráhy meteoru. Světlejší čáry ukazují směry od pozorovacích stanic při objevení se meteoru a tmavší čáry, kde byl naposledy viděn. Modrá šipka značí viditelnou dráhu meteoru.

static map
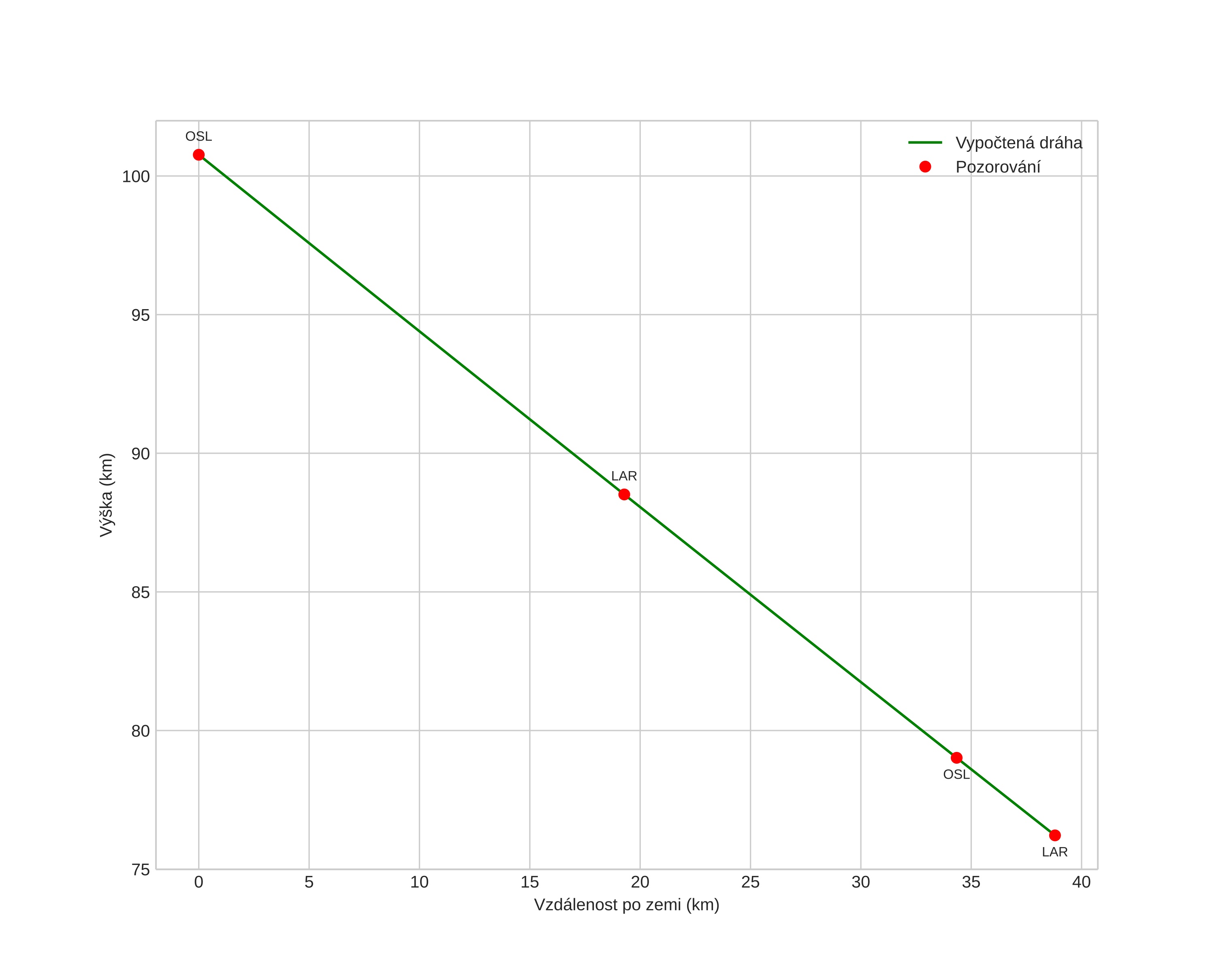
height profile
Atmosférická dráha meteoru:
Počáteční výška: 91,1 km
Konečná výška: 75,3 km
Počáteční poloha: 58,786N 11,757E
Konečná poloha: 59,015N 11,825E
Směr: 8,7°
Sklon: 31,5°
VstupnĂ­ rychlost: 31,5 km/s
Rektascenze radiantu: 02:21 (35,3°)
Deklinace radiantu: -1,7°
MeteorickĂ˝ roj: sporadickĂ˝
Elementy dráhy meteoroidu:
Vzdálenost v periheliu: 0,412 AU
Excentricita: 0,874
Sklon dráhy: 16,8°
Délka vzestupného uzlu: 22,8°
Argument perihelia: 105,0°
Střední anomálie: 353,0°
Epocha: 2020 OCT 16 00:27:33
orbit plot

NeinteraktivnĂ­ graf | InteraktivnĂ­ graf

position vs time
speed and acceleration