🇳🇴 🇬🇧 🇩🇪 🇨🇿 🇫🇮

Meteor über Ed 2020-10-16 00:27:33 UTC

KML-Datei  |  Interaktive Karte

Die Karte zeigt die Peilungen für den Meteor. Die helleren Linien zeigen die Richtungen von den Beobachtungsorten beim Erscheinen des Meteors, und die dunkleren Linien, wo er zuletzt gesehen wurde. Der blaue Pfeil zeigt die sichtbare Bahn des Meteors.

static map
height profile
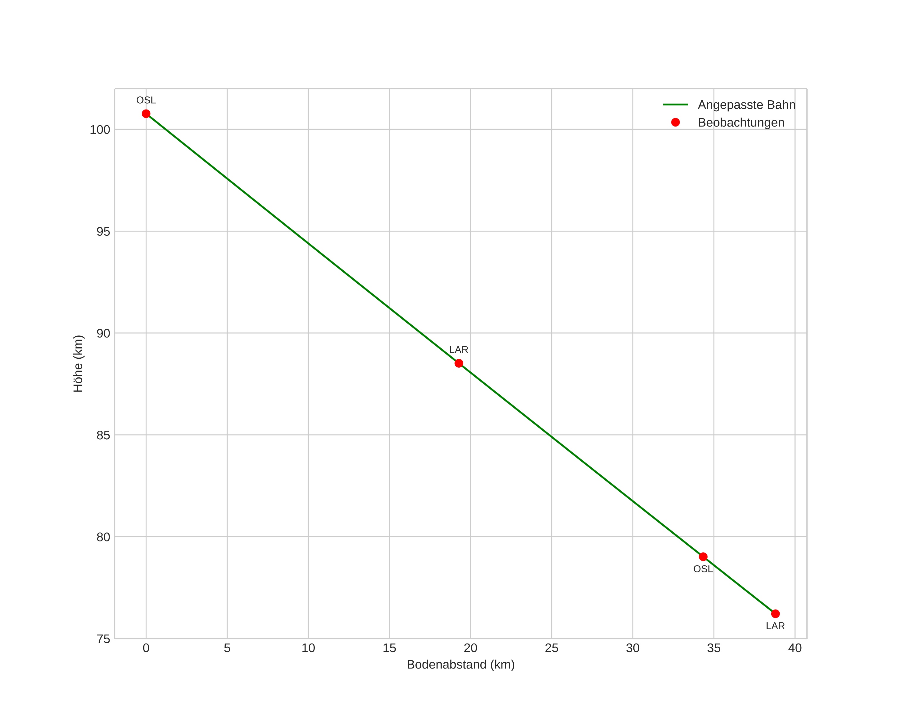
Atmosphärische Bahn des Meteors:
Anfangshöhe: 91,1 km
Endhöhe: 75,3 km
Startposition: 58,786N 11,757E
Endposition: 59,015N 11,825E
Richtung: 8,7°
Neigungswinkel: 31,5°
Eintrittsgeschwindigkeit: 31,5 km/s
Rektaszension des Radianten: 02:21 (35,3°)
Deklination des Radianten: -1,7°
Meteorstrom: sporadisch
Bahnelemente des Meteoroiden:
Periheldistanz: 0,412 AU
Exzentrizität: 0,874
Inklination: 16,8°
Länge des aufsteigenden Knotens: 22,8°
Argument des Perihels: 105,0°
Mittlere Anomalie: 353,0°
Epoche: 2020 OCT 16 00:27:33
orbit plot

Nicht-interaktives Diagramm | Interaktives Diagramm

position vs time
speed and acceleration