🇳🇴 🇬🇧 🇩🇪 🇨🇿 🇫🇮

Meteor Edin yllä 2020-10-16 00:27:33 UTC

KML-tiedosto  |  Interaktiivinen kartta

Kartta näyttää meteorin suuntahavainnot. Vaaleammat viivat näyttävät suunnat havaintoasemilta meteorin ilmestyessä, ja tummemmat viivat näyttävät, missä se viimeksi nähtiin. Sininen nuoli näyttää meteorin näkyvän lennon.

static map
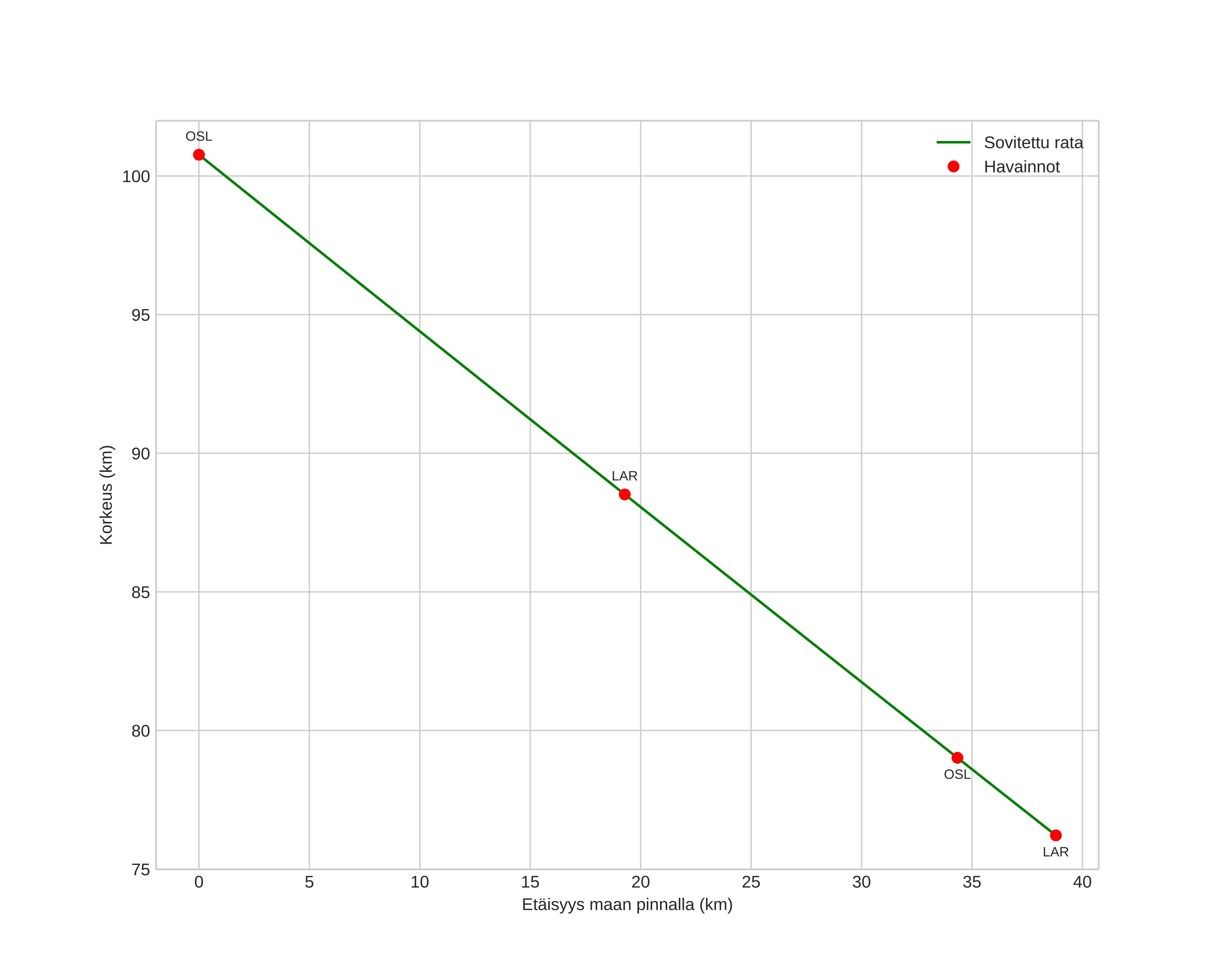
height profile
Meteorin ilmakehärata:
Alkukorkeus: 91,1 km
Loppukorkeus: 75,3 km
Alkupiste: 58,786N 11,757E
Loppupiste: 59,015N 11,825E
Suunta: 8,7°
Kallistuskulma: 31,5°
Tulonopeus: 31,5 km/s
Radiantin R,A,: 02:21 (35,3°)
Radiantin Dekl,: -1,7°
Meteoriparvi: Sporadinen
Meteoroidin rataelementit:
Perihelietäisyys: 0,412 AU
Eksentrisyys: 0,874
Inklinaatio: 16,8°
Nousevan solmun pituus: 22,8°
Perihelin argumentti: 105,0°
Keskianomalia: 353,0°
Epookki: 2020 OCT 16 00:27:33
orbit plot

Ei-interaktiivinen kuvaaja | Interaktiivinen kuvaaja

position vs time
speed and acceleration