🇳🇴 🇬🇧 🇩🇪 🇨🇿 🇫🇮

Meteor, poloha: Gjern 2020-11-27 04:30:43 UTC

Soubor KML  |  InteraktivnĂ­ mapa

Mapa zobrazuje dráhy meteoru. Světlejší čáry ukazují směry od pozorovacích stanic při objevení se meteoru a tmavší čáry, kde byl naposledy viděn. Modrá šipka značí viditelnou dráhu meteoru.

static map
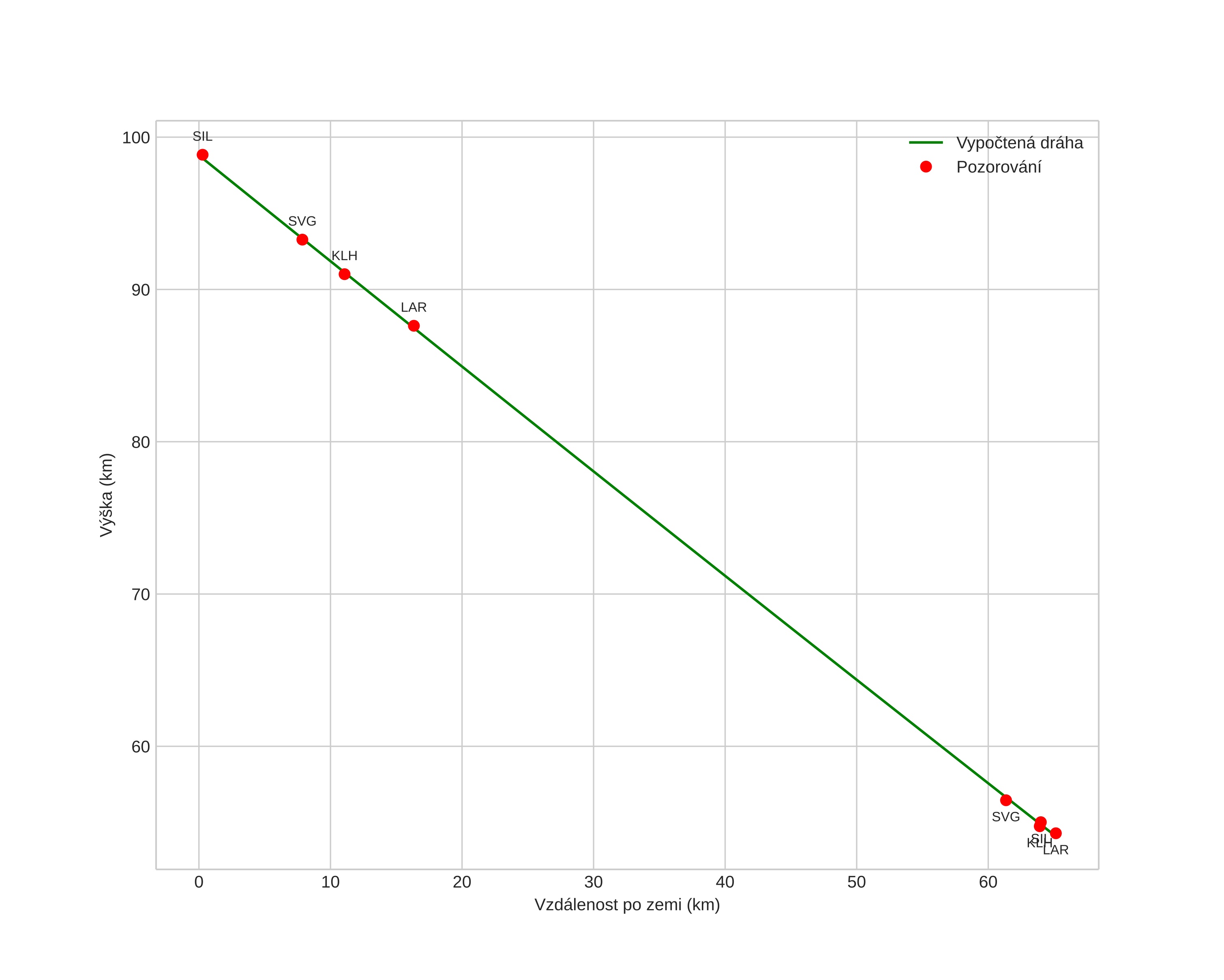
height profile
Atmosférická dráha meteoru:
Počáteční výška: 98,3 km
Konečná výška: 54,4 km
Počáteční poloha: 56,276N 8,666E
Konečná poloha: 56,264N 9,705E
Směr: 90,7°
Sklon: 34,4°
VstupnĂ­ rychlost: 29,2 km/s
Rektascenze radiantu: 04:44 (71,0°)
Deklinace radiantu: 26,2°
MeteorickĂ˝ roj: SevernĂ­ Tauridy
Elementy dráhy meteoroidu:
Vzdálenost v periheliu: 0,421 AU
Excentricita: 0,833
Sklon dráhy: 4,0°
Délka vzestupného uzlu: 245,1°
Argument perihelia: 285,3°
Střední anomálie: 349,5°
Epocha: 2020 NOV 27 04:30:43
orbit plot

NeinteraktivnĂ­ graf | InteraktivnĂ­ graf

position vs time
speed and acceleration