🇳🇴 🇬🇧 🇩🇪 🇨🇿 🇫🇮

Meteor Gjernin yllä 2020-11-27 04:30:43 UTC

KML-tiedosto  |  Interaktiivinen kartta

Kartta näyttää meteorin suuntahavainnot. Vaaleammat viivat näyttävät suunnat havaintoasemilta meteorin ilmestyessä, ja tummemmat viivat näyttävät, missä se viimeksi nähtiin. Sininen nuoli näyttää meteorin näkyvän lennon.

static map
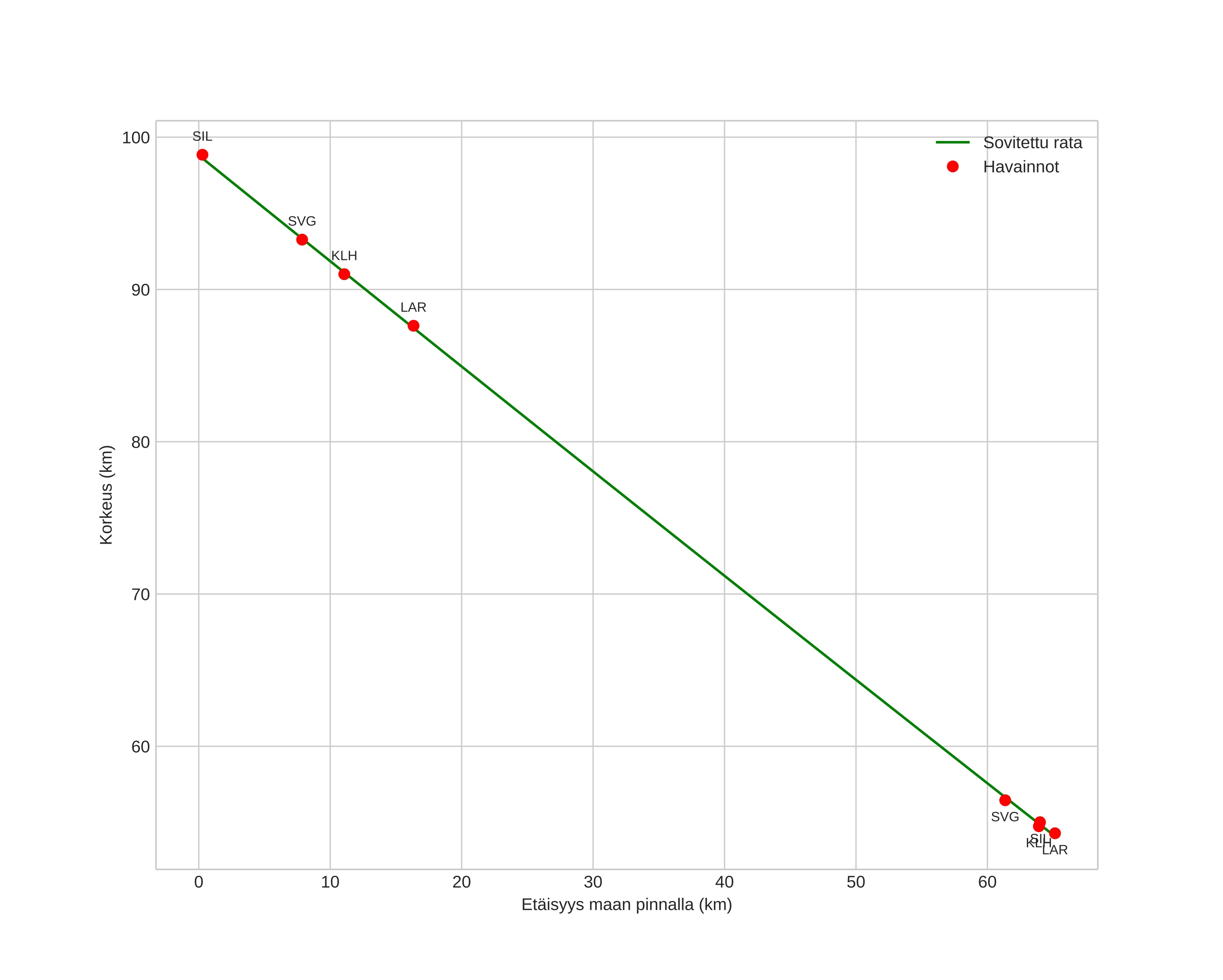
height profile
Meteorin ilmakehärata:
Alkukorkeus: 98,3 km
Loppukorkeus: 54,4 km
Alkupiste: 56,276N 8,666E
Loppupiste: 56,264N 9,705E
Suunta: 90,7°
Kallistuskulma: 34,4°
Tulonopeus: 29,2 km/s
Radiantin R,A,: 04:44 (71,0°)
Radiantin Dekl,: 26,2°
Meteoriparvi: Pohjoiset tauridit
Meteoroidin rataelementit:
Perihelietäisyys: 0,421 AU
Eksentrisyys: 0,833
Inklinaatio: 4,0°
Nousevan solmun pituus: 245,1°
Perihelin argumentti: 285,3°
Keskianomalia: 349,5°
Epookki: 2020 NOV 27 04:30:43
orbit plot

Ei-interaktiivinen kuvaaja | Interaktiivinen kuvaaja

position vs time
speed and acceleration