🇳🇴 🇬🇧 🇩🇪 🇨🇿 🇫🇮

Meteor über Gjern 2020-11-27 04:30:43 UTC

KML-Datei  |  Interaktive Karte

Die Karte zeigt die Peilungen für den Meteor. Die helleren Linien zeigen die Richtungen von den Beobachtungsorten beim Erscheinen des Meteors, und die dunkleren Linien, wo er zuletzt gesehen wurde. Der blaue Pfeil zeigt die sichtbare Bahn des Meteors.

static map
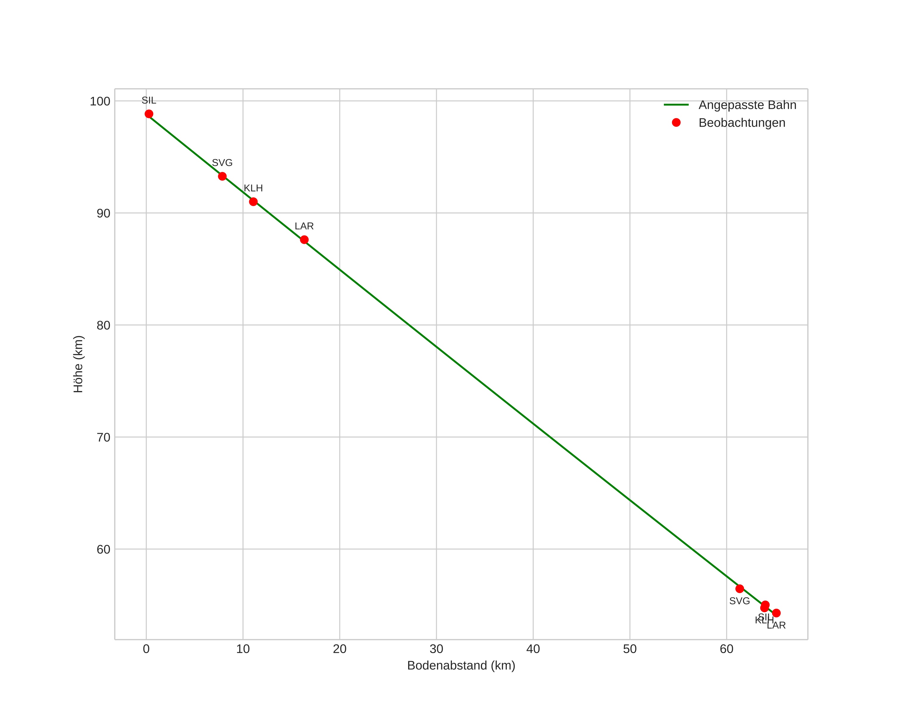
height profile
Atmosphärische Bahn des Meteors:
Anfangshöhe: 98,3 km
Endhöhe: 54,4 km
Startposition: 56,276N 8,666E
Endposition: 56,264N 9,705E
Richtung: 90,7°
Neigungswinkel: 34,4°
Eintrittsgeschwindigkeit: 29,2 km/s
Rektaszension des Radianten: 04:44 (71,0°)
Deklination des Radianten: 26,2°
Meteorstrom: Nördliche Tauriden
Bahnelemente des Meteoroiden:
Periheldistanz: 0,421 AU
Exzentrizität: 0,833
Inklination: 4,0°
Länge des aufsteigenden Knotens: 245,1°
Argument des Perihels: 285,3°
Mittlere Anomalie: 349,5°
Epoche: 2020 NOV 27 04:30:43
orbit plot

Nicht-interaktives Diagramm | Interaktives Diagramm

position vs time
speed and acceleration