🇳🇴 🇬🇧 🇩🇪 🇨🇿 🇫🇮

Meteor, poloha: Hönö 2020-11-27 05:17:15 UTC

Soubor KML  |  InteraktivnĂ­ mapa

Mapa zobrazuje dráhy meteoru. Světlejší čáry ukazují směry od pozorovacích stanic při objevení se meteoru a tmavší čáry, kde byl naposledy viděn. Modrá šipka značí viditelnou dráhu meteoru.

static map
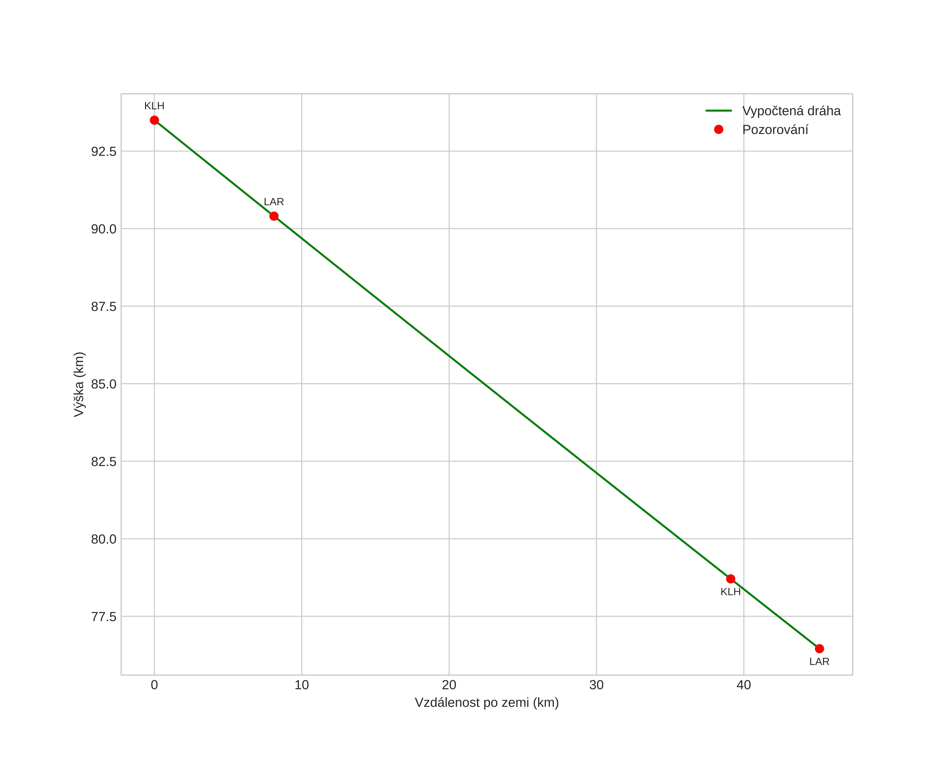
height profile
Atmosférická dráha meteoru:
Počáteční výška: 93,4 km
Konečná výška: 75,9 km
Počáteční poloha: 57,651N 10,684E
Konečná poloha: 57,615N 11,466E
Směr: 94,5°
Sklon: 20,5°
VstupnĂ­ rychlost: 28,2 km/s
Rektascenze radiantu: 04:47 (71,9°)
Deklinace radiantu: 16,7°
MeteorickĂ˝ roj: SevernĂ­ Tauridy
Elementy dráhy meteoroidu:
Vzdálenost v periheliu: 0,441 AU
Excentricita: 0,805
Sklon dráhy: 5,5°
Délka vzestupného uzlu: 65,2°
Argument perihelia: 103,9°
Střední anomálie: 347,4°
Epocha: 2020 NOV 27 05:17:15
orbit plot

NeinteraktivnĂ­ graf | InteraktivnĂ­ graf

position vs time
speed and acceleration