🇳🇴 🇬🇧 🇩🇪 🇨🇿 🇫🇮

Meteor über Hönö 2020-11-27 05:17:15 UTC

KML-Datei  |  Interaktive Karte

Die Karte zeigt die Peilungen für den Meteor. Die helleren Linien zeigen die Richtungen von den Beobachtungsorten beim Erscheinen des Meteors, und die dunkleren Linien, wo er zuletzt gesehen wurde. Der blaue Pfeil zeigt die sichtbare Bahn des Meteors.

static map
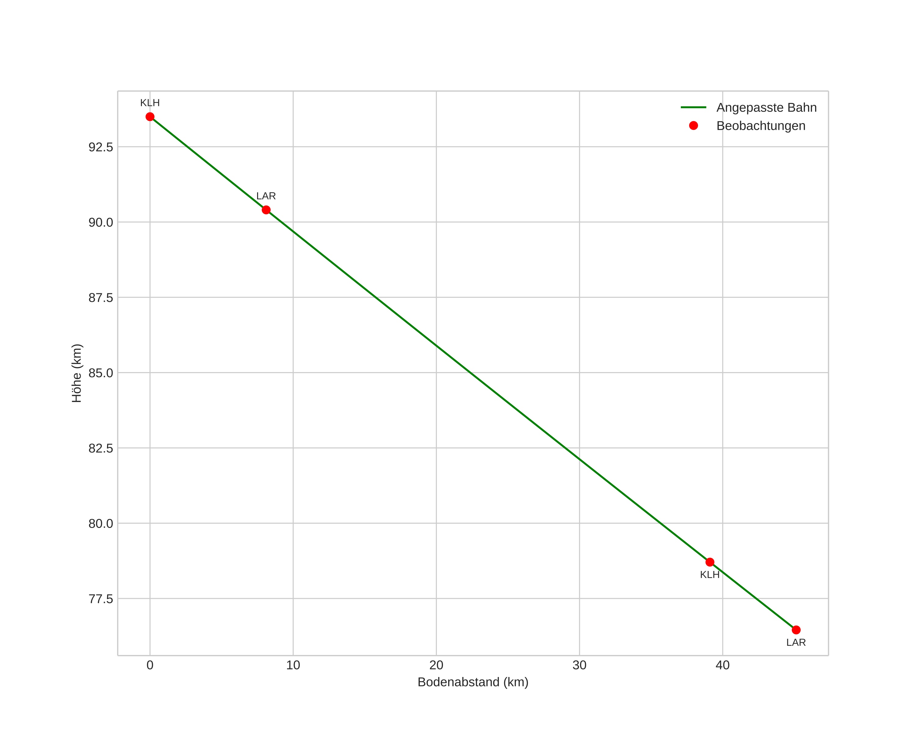
height profile
Atmosphärische Bahn des Meteors:
Anfangshöhe: 93,4 km
Endhöhe: 75,9 km
Startposition: 57,651N 10,684E
Endposition: 57,615N 11,466E
Richtung: 94,5°
Neigungswinkel: 20,5°
Eintrittsgeschwindigkeit: 28,2 km/s
Rektaszension des Radianten: 04:47 (71,9°)
Deklination des Radianten: 16,7°
Meteorstrom: Nördliche Tauriden
Bahnelemente des Meteoroiden:
Periheldistanz: 0,441 AU
Exzentrizität: 0,805
Inklination: 5,5°
Länge des aufsteigenden Knotens: 65,2°
Argument des Perihels: 103,9°
Mittlere Anomalie: 347,4°
Epoche: 2020 NOV 27 05:17:15
orbit plot

Nicht-interaktives Diagramm | Interaktives Diagramm

position vs time
speed and acceleration