🇳🇴 🇬🇧 🇩🇪 🇨🇿 🇫🇮

Meteor Hönöin yllä 2020-11-27 05:17:15 UTC

KML-tiedosto  |  Interaktiivinen kartta

Kartta näyttää meteorin suuntahavainnot. Vaaleammat viivat näyttävät suunnat havaintoasemilta meteorin ilmestyessä, ja tummemmat viivat näyttävät, missä se viimeksi nähtiin. Sininen nuoli näyttää meteorin näkyvän lennon.

static map
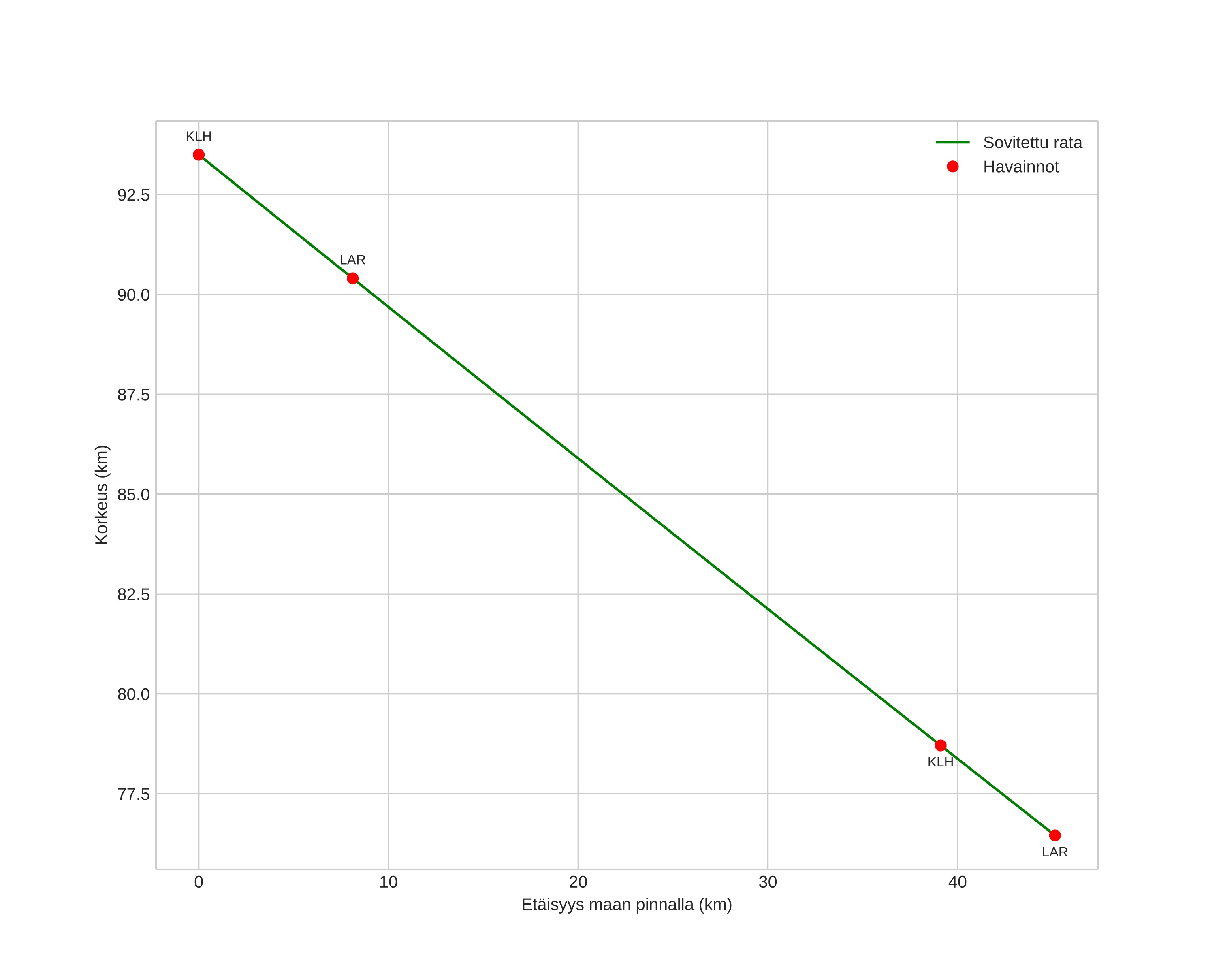
height profile
Meteorin ilmakehärata:
Alkukorkeus: 93,4 km
Loppukorkeus: 75,9 km
Alkupiste: 57,651N 10,684E
Loppupiste: 57,615N 11,466E
Suunta: 94,5°
Kallistuskulma: 20,5°
Tulonopeus: 28,2 km/s
Radiantin R,A,: 04:47 (71,9°)
Radiantin Dekl,: 16,7°
Meteoriparvi: Pohjoiset tauridit
Meteoroidin rataelementit:
Perihelietäisyys: 0,441 AU
Eksentrisyys: 0,805
Inklinaatio: 5,5°
Nousevan solmun pituus: 65,2°
Perihelin argumentti: 103,9°
Keskianomalia: 347,4°
Epookki: 2020 NOV 27 05:17:15
orbit plot

Ei-interaktiivinen kuvaaja | Interaktiivinen kuvaaja

position vs time
speed and acceleration