🇳🇴 🇬🇧 🇩🇪 🇨🇿 🇫🇮

Meteor, poloha: Smögen 2020-11-28 17:38:01 UTC

Soubor KML

Mapa zobrazuje dráhy meteoru. Světlejší čáry ukazují směry od pozorovacích stanic při objevení se meteoru a tmavší čáry, kde byl naposledy viděn. Modrá šipka značí viditelnou dráhu meteoru.

static map
height profile
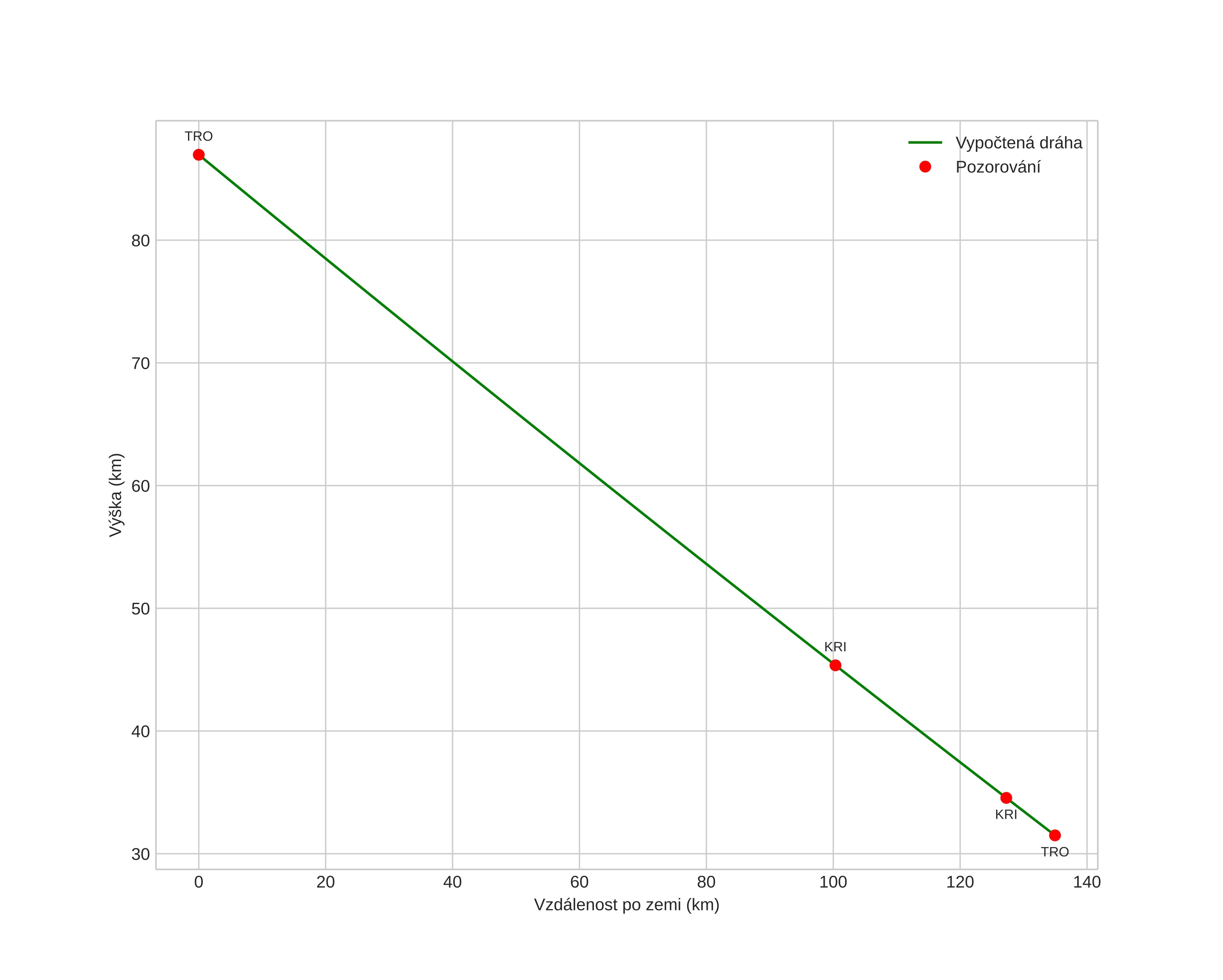
Atmosférická dráha meteoru:
Počáteční výška: 87,0 km
Konečná výška: 31,5 km
Počáteční poloha: 57,111N 10,382E
Konečná poloha: 58,303N 10,806E
Směr: 10,6°
Sklon: 22,4°
VstupnĂ­ rychlost: 14,0 km/s
Rektascenze radiantu: 21:57 (329,3°)
Deklinace radiantu: -28,2°
MeteorickĂ˝ roj: sporadickĂ˝
Elementy dráhy meteoroidu:
Vzdálenost v periheliu: 0,983 AU
Excentricita: 0,638
Sklon dráhy: 3,3°
Délka vzestupného uzlu: 66,7°
Argument perihelia: 352,8°
Střední anomálie: 1,2°
Epocha: 2020 NOV 28 17:38:01
orbit plot

NeinteraktivnĂ­ graf

position vs time
speed and acceleration