🇳🇴 🇬🇧 🇩🇪 🇨🇿 🇫🇮

Meteor über Smögen 2020-11-28 17:38:01 UTC

KML-Datei

Die Karte zeigt die Peilungen für den Meteor. Die helleren Linien zeigen die Richtungen von den Beobachtungsorten beim Erscheinen des Meteors, und die dunkleren Linien, wo er zuletzt gesehen wurde. Der blaue Pfeil zeigt die sichtbare Bahn des Meteors.

static map
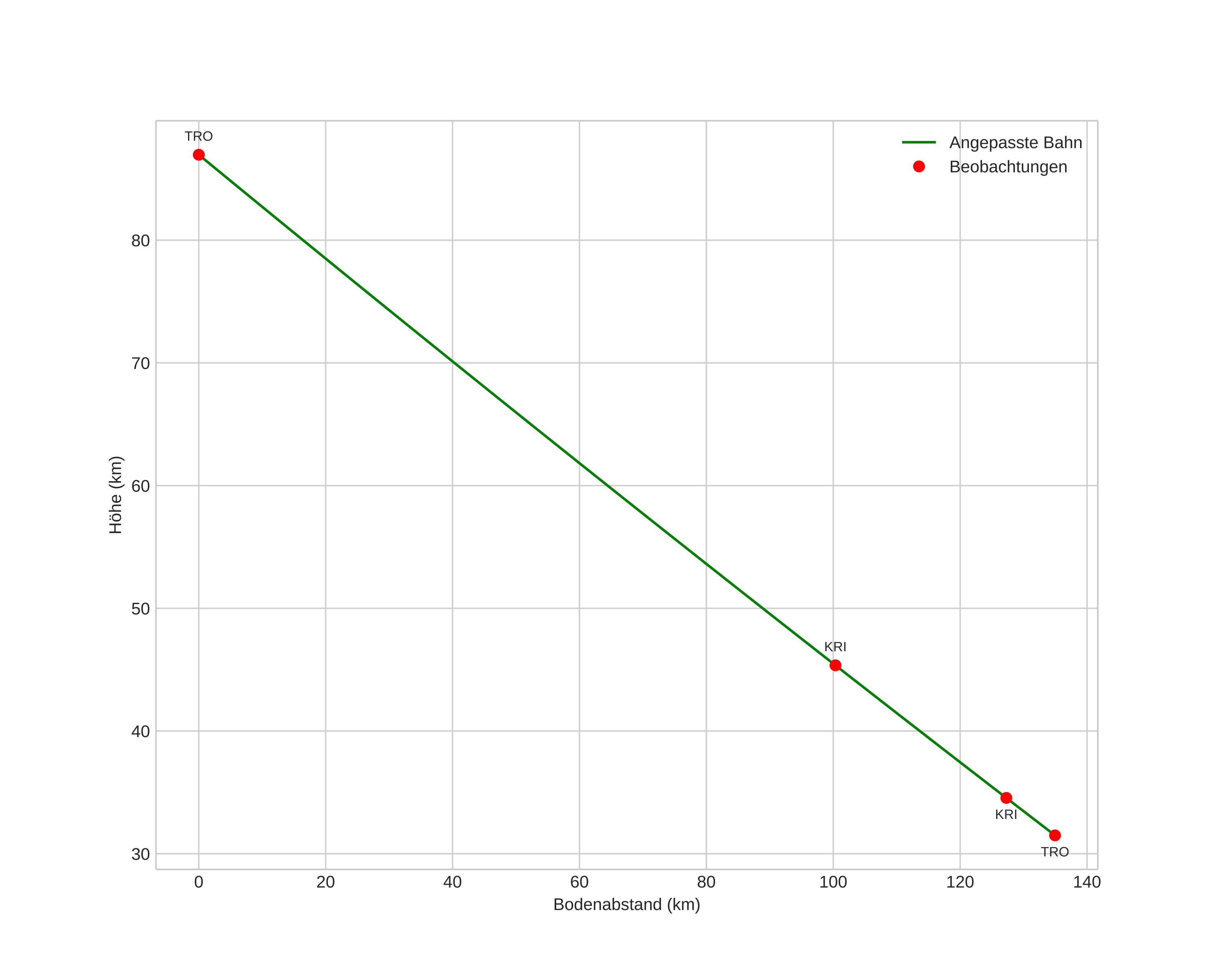
height profile
Atmosphärische Bahn des Meteors:
Anfangshöhe: 87,0 km
Endhöhe: 31,5 km
Startposition: 57,111N 10,382E
Endposition: 58,303N 10,806E
Richtung: 10,6°
Neigungswinkel: 22,4°
Eintrittsgeschwindigkeit: 14,0 km/s
Rektaszension des Radianten: 21:57 (329,3°)
Deklination des Radianten: -28,2°
Meteorstrom: sporadisch
Bahnelemente des Meteoroiden:
Periheldistanz: 0,983 AU
Exzentrizität: 0,638
Inklination: 3,3°
Länge des aufsteigenden Knotens: 66,7°
Argument des Perihels: 352,8°
Mittlere Anomalie: 1,2°
Epoche: 2020 NOV 28 17:38:01
orbit plot

Nicht-interaktives Diagramm

position vs time
speed and acceleration