🇳🇴 🇬🇧 🇩🇪 🇨🇿 🇫🇮

Meteor Smögenin yllä 2020-11-28 17:38:01 UTC

KML-tiedosto

Kartta näyttää meteorin suuntahavainnot. Vaaleammat viivat näyttävät suunnat havaintoasemilta meteorin ilmestyessä, ja tummemmat viivat näyttävät, missä se viimeksi nähtiin. Sininen nuoli näyttää meteorin näkyvän lennon.

static map
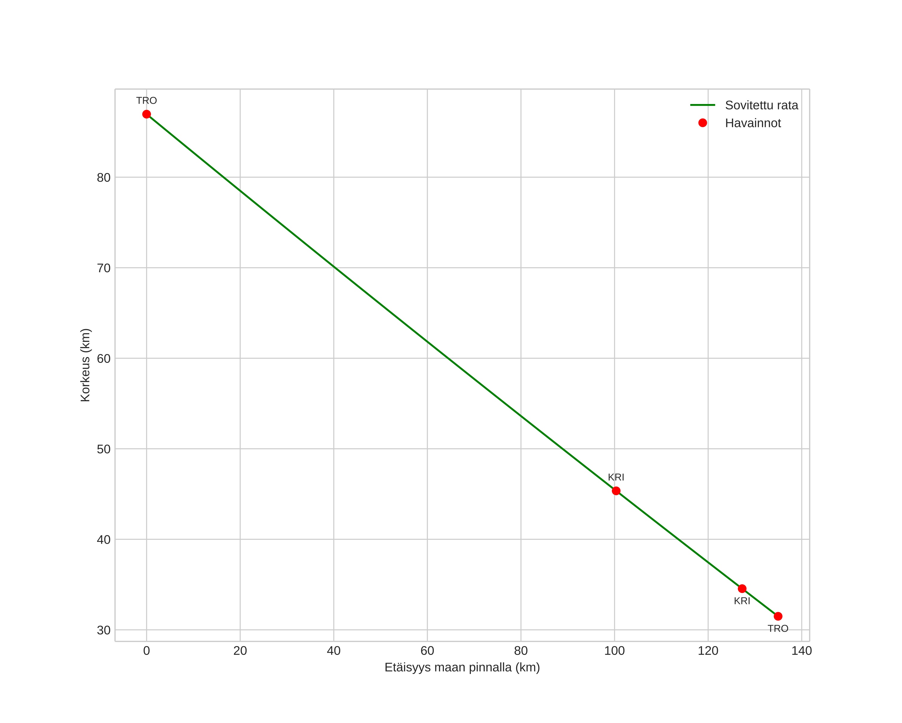
height profile
Meteorin ilmakehärata:
Alkukorkeus: 87,0 km
Loppukorkeus: 31,5 km
Alkupiste: 57,111N 10,382E
Loppupiste: 58,303N 10,806E
Suunta: 10,6°
Kallistuskulma: 22,4°
Tulonopeus: 14,0 km/s
Radiantin R,A,: 21:57 (329,3°)
Radiantin Dekl,: -28,2°
Meteoriparvi: Sporadinen
Meteoroidin rataelementit:
Perihelietäisyys: 0,983 AU
Eksentrisyys: 0,638
Inklinaatio: 3,3°
Nousevan solmun pituus: 66,7°
Perihelin argumentti: 352,8°
Keskianomalia: 1,2°
Epookki: 2020 NOV 28 17:38:01
orbit plot

Ei-interaktiivinen kuvaaja

position vs time
speed and acceleration