🇳🇴 🇬🇧 🇩🇪 🇨🇿 🇫🇮

Meteor, poloha: Pajala 2020-12-04 13:30:37 UTC

Soubor KML  |  InteraktivnĂ­ mapa

Mapa zobrazuje dráhy meteoru. Světlejší čáry ukazují směry od pozorovacích stanic při objevení se meteoru a tmavší čáry, kde byl naposledy viděn. Modrá šipka značí viditelnou dráhu meteoru.

static map
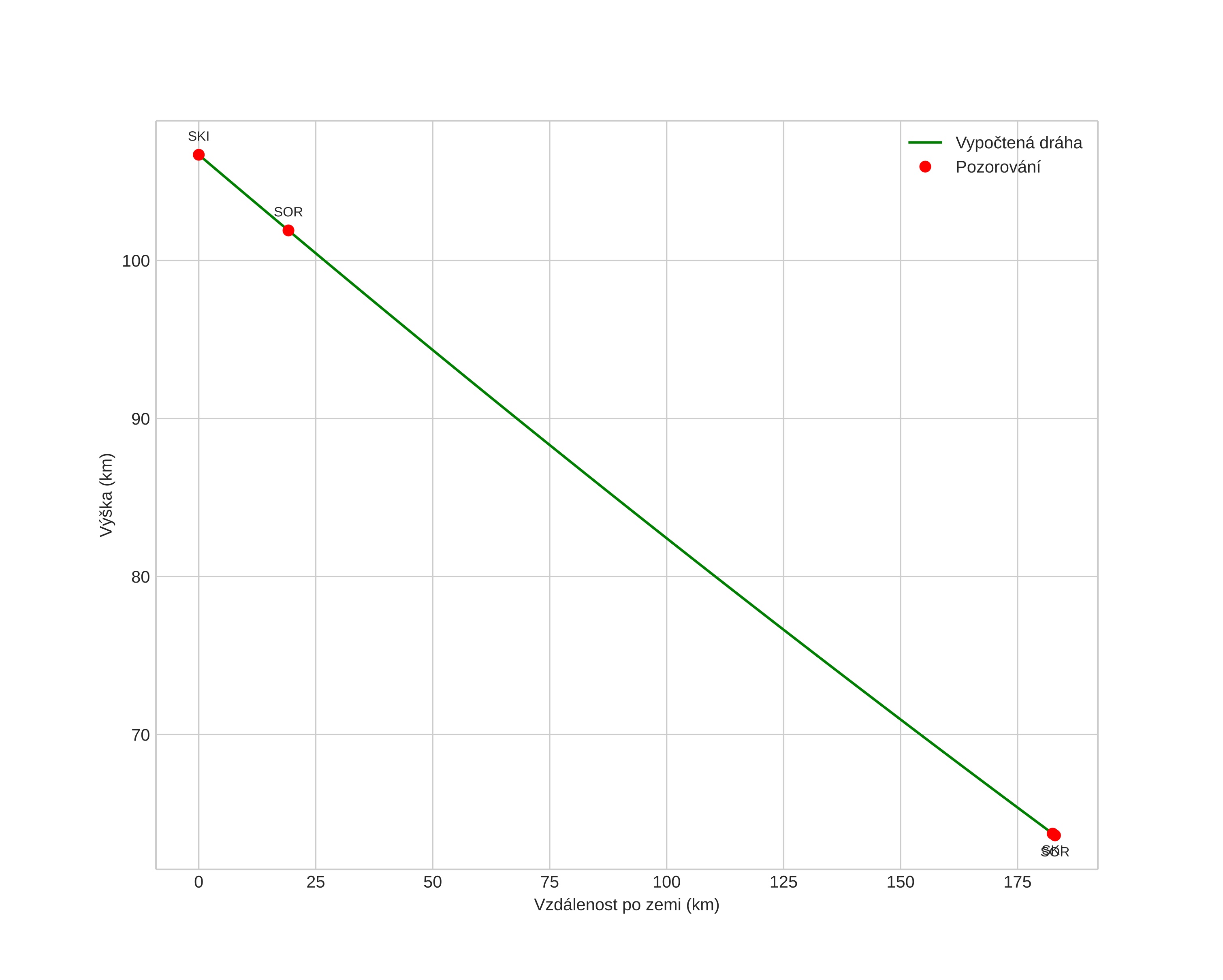
height profile
Atmosférická dráha meteoru:
Počáteční výška: 106,7 km
Konečná výška: 63,6 km
Počáteční poloha: 68,825N 25,547E
Konečná poloha: 67,516N 22,863E
Směr: 218,6°
Sklon: 13,3°
VstupnĂ­ rychlost: 28,9 km/s
Rektascenze radiantu: 05:15 (78,9°)
Deklinace radiantu: 25,8°
MeteorickĂ˝ roj: SevernĂ­ Tauridy
Elementy dráhy meteoroidu:
Vzdálenost v periheliu: 0,433 AU
Excentricita: 0,817
Sklon dráhy: 2,8°
Délka vzestupného uzlu: 252,5°
Argument perihelia: 284,3°
Střední anomálie: 348,4°
Epocha: 2020 DEC 04 13:30:37
orbit plot

NeinteraktivnĂ­ graf | InteraktivnĂ­ graf

position vs time
speed and acceleration