🇳🇴 🇬🇧 🇩🇪 🇨🇿 🇫🇮

Meteor über Pajala 2020-12-04 13:30:37 UTC

KML-Datei  |  Interaktive Karte

Die Karte zeigt die Peilungen für den Meteor. Die helleren Linien zeigen die Richtungen von den Beobachtungsorten beim Erscheinen des Meteors, und die dunkleren Linien, wo er zuletzt gesehen wurde. Der blaue Pfeil zeigt die sichtbare Bahn des Meteors.

static map
height profile
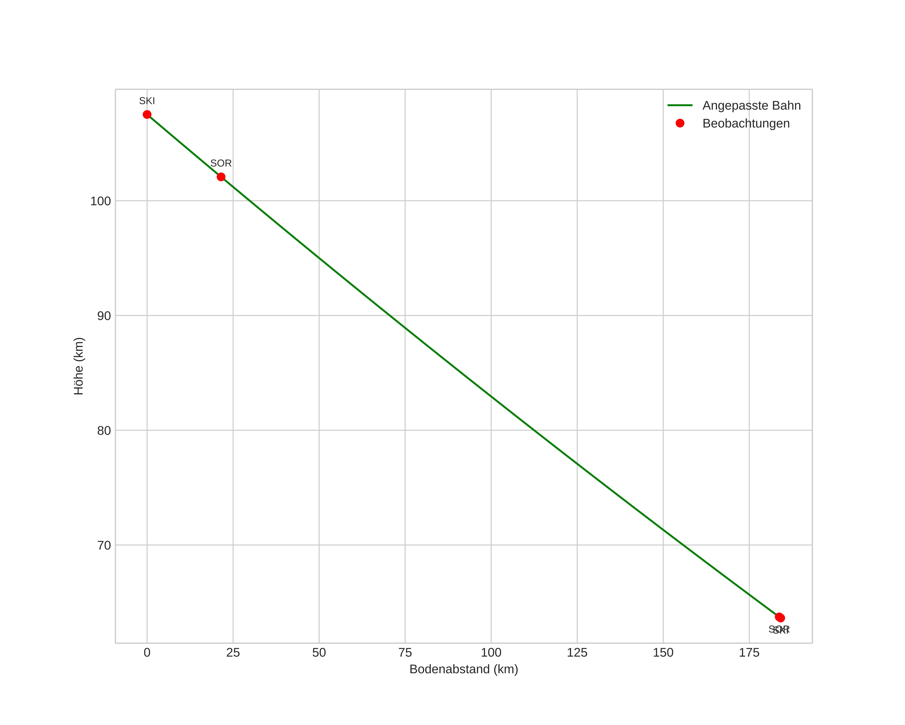
Atmosphärische Bahn des Meteors:
Anfangshöhe: 106,7 km
Endhöhe: 63,6 km
Startposition: 68,825N 25,547E
Endposition: 67,516N 22,863E
Richtung: 218,6°
Neigungswinkel: 13,3°
Eintrittsgeschwindigkeit: 28,9 km/s
Rektaszension des Radianten: 05:15 (78,9°)
Deklination des Radianten: 25,8°
Meteorstrom: Nördliche Tauriden
Bahnelemente des Meteoroiden:
Periheldistanz: 0,433 AU
Exzentrizität: 0,817
Inklination: 2,8°
Länge des aufsteigenden Knotens: 252,5°
Argument des Perihels: 284,3°
Mittlere Anomalie: 348,4°
Epoche: 2020 DEC 04 13:30:37
orbit plot

Nicht-interaktives Diagramm | Interaktives Diagramm

position vs time
speed and acceleration