🇳🇴 🇬🇧 🇩🇪 🇨🇿 🇫🇮

Meteor Pajalan yllä 2020-12-04 13:30:37 UTC

KML-tiedosto  |  Interaktiivinen kartta

Kartta näyttää meteorin suuntahavainnot. Vaaleammat viivat näyttävät suunnat havaintoasemilta meteorin ilmestyessä, ja tummemmat viivat näyttävät, missä se viimeksi nähtiin. Sininen nuoli näyttää meteorin näkyvän lennon.

static map
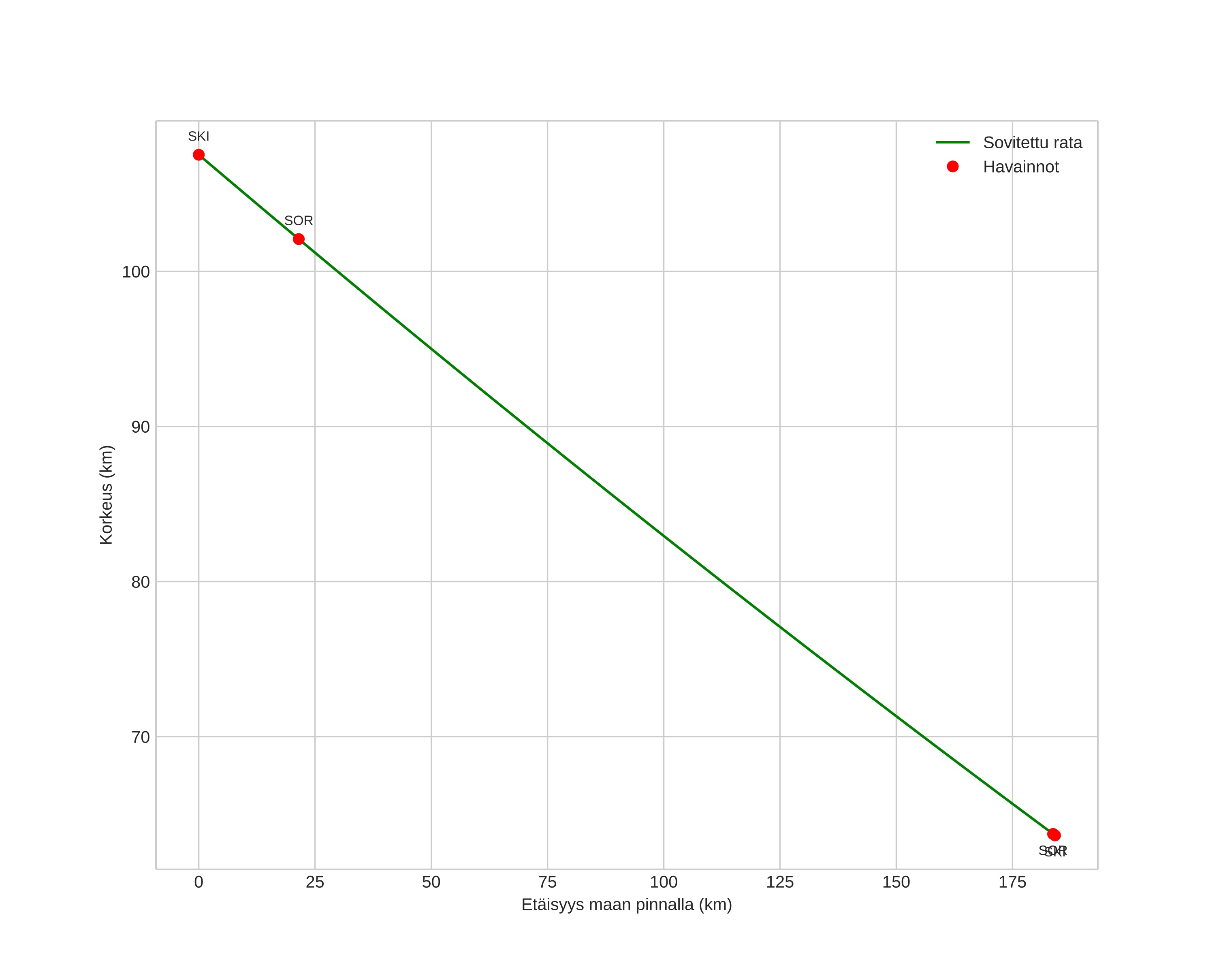
height profile
Meteorin ilmakehärata:
Alkukorkeus: 106,7 km
Loppukorkeus: 63,6 km
Alkupiste: 68,825N 25,547E
Loppupiste: 67,516N 22,863E
Suunta: 218,6°
Kallistuskulma: 13,3°
Tulonopeus: 28,9 km/s
Radiantin R,A,: 05:15 (78,9°)
Radiantin Dekl,: 25,8°
Meteoriparvi: Pohjoiset tauridit
Meteoroidin rataelementit:
Perihelietäisyys: 0,433 AU
Eksentrisyys: 0,817
Inklinaatio: 2,8°
Nousevan solmun pituus: 252,5°
Perihelin argumentti: 284,3°
Keskianomalia: 348,4°
Epookki: 2020 DEC 04 13:30:37
orbit plot

Ei-interaktiivinen kuvaaja | Interaktiivinen kuvaaja

position vs time
speed and acceleration