🇳🇴 🇬🇧 🇩🇪 🇨🇿 🇫🇮

Meteor, poloha: Vansbro 2020-12-22 01:53:12 UTC

Soubor KML  |  InteraktivnĂ­ mapa

Mapa zobrazuje dráhy meteoru. Světlejší čáry ukazují směry od pozorovacích stanic při objevení se meteoru a tmavší čáry, kde byl naposledy viděn. Modrá šipka značí viditelnou dráhu meteoru.

static map
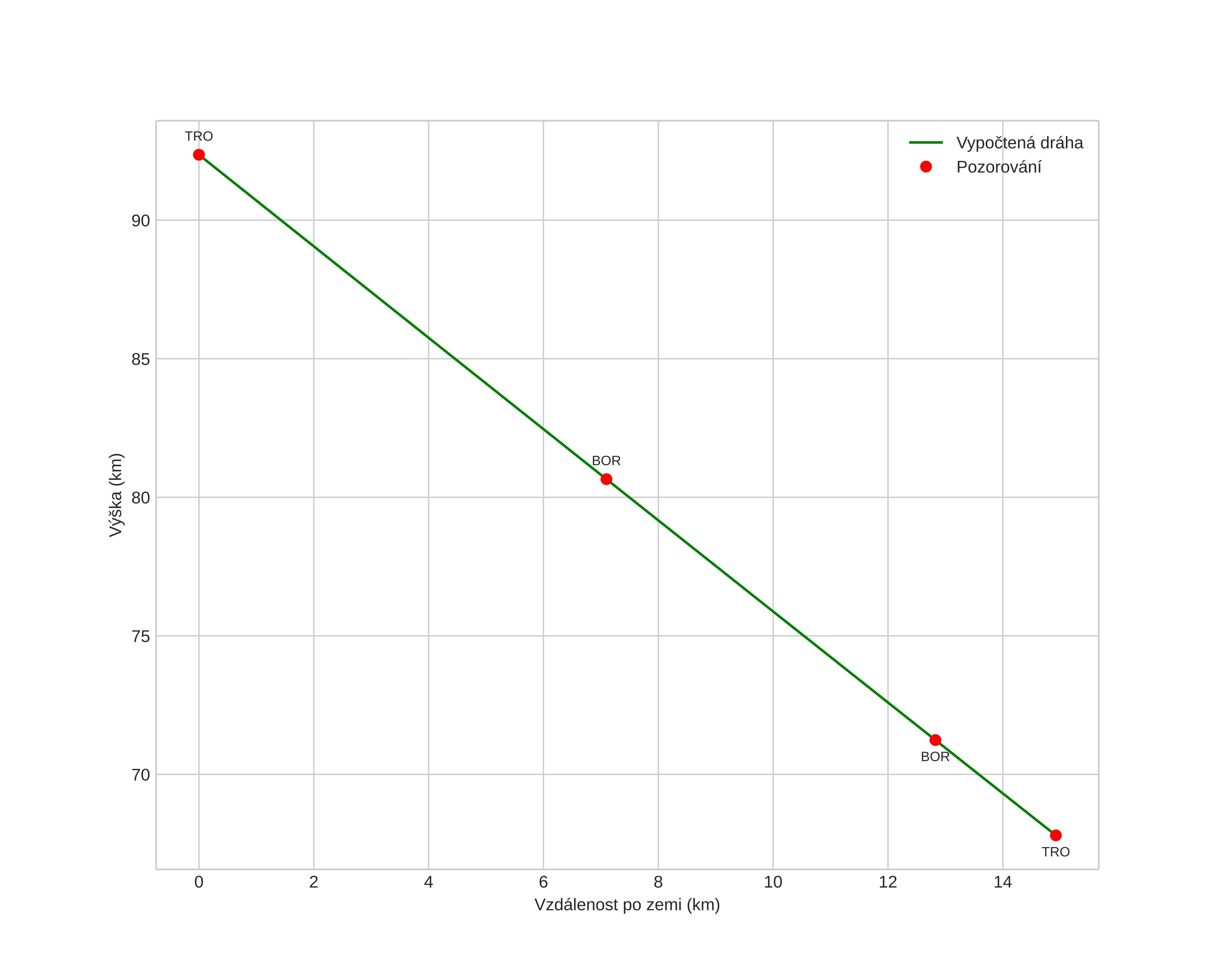
height profile
Atmosférická dráha meteoru:
Počáteční výška: 87,7 km
Konečná výška: 69,8 km
Počáteční poloha: 60,575N 14,140E
Konečná poloha: 60,486N 14,044E
Směr: 208,1°
Sklon: 58,0°
VstupnĂ­ rychlost: 35,8 km/s
Rektascenze radiantu: 14:55 (223,8°)
Deklinace radiantu: 75,7°
MeteorickĂ˝ roj: Ursidy
Elementy dráhy meteoroidu:
Vzdálenost v periheliu: 0,946 AU
Excentricita: 0,896
Sklon dráhy: 53,2°
Délka vzestupného uzlu: 270,4°
Argument perihelia: 203,4°
Střední anomálie: 359,4°
Epocha: 2020 DEC 22 01:53:12
orbit plot

NeinteraktivnĂ­ graf | InteraktivnĂ­ graf

position vs time
speed and acceleration