🇳🇴 🇬🇧 🇩🇪 🇨🇿 🇫🇮

Meteor Vansbron yllä 2020-12-22 01:53:12 UTC

KML-tiedosto  |  Interaktiivinen kartta

Kartta näyttää meteorin suuntahavainnot. Vaaleammat viivat näyttävät suunnat havaintoasemilta meteorin ilmestyessä, ja tummemmat viivat näyttävät, missä se viimeksi nähtiin. Sininen nuoli näyttää meteorin näkyvän lennon.

static map
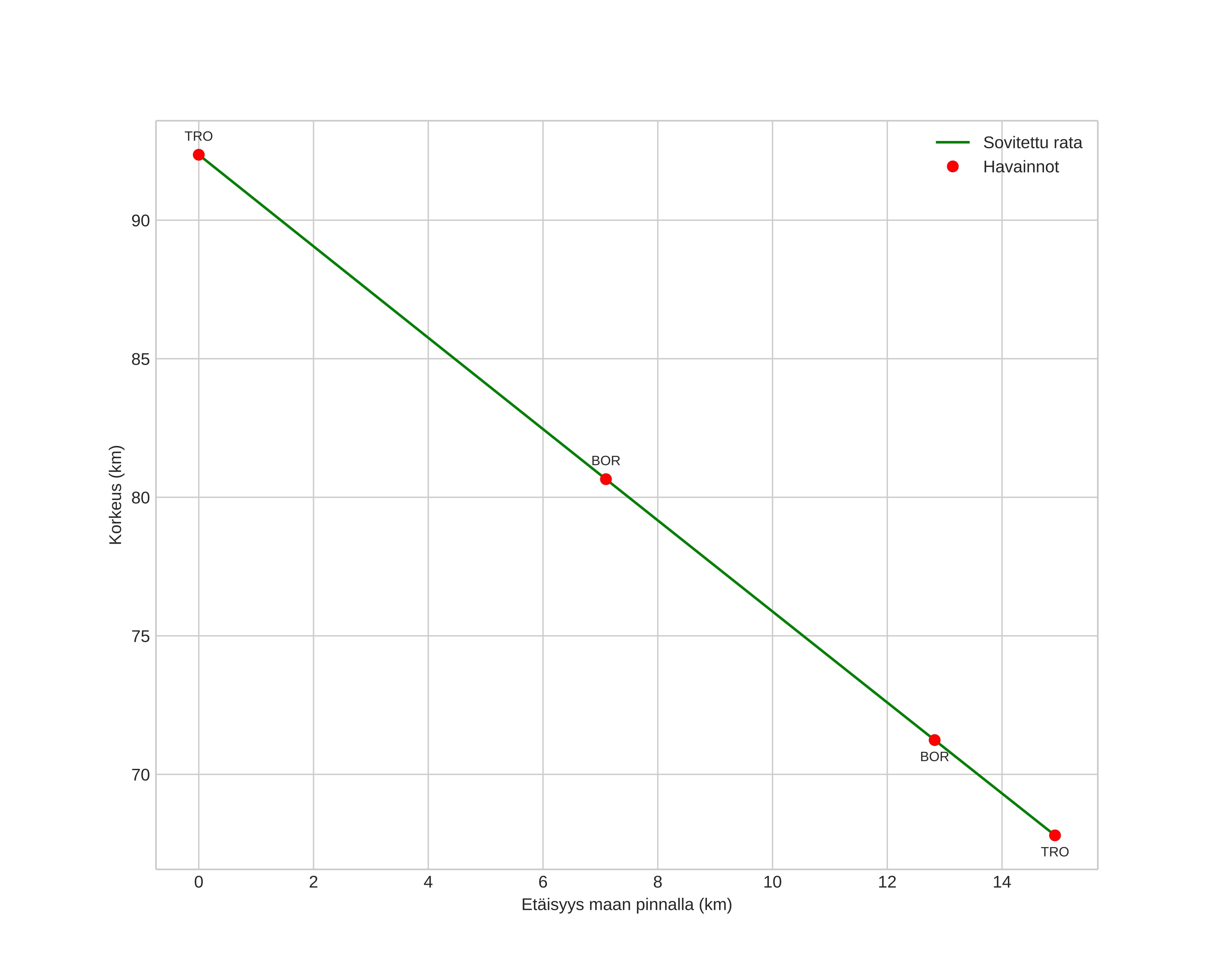
height profile
Meteorin ilmakehärata:
Alkukorkeus: 87,7 km
Loppukorkeus: 69,8 km
Alkupiste: 60,575N 14,140E
Loppupiste: 60,486N 14,044E
Suunta: 208,1°
Kallistuskulma: 58,0°
Tulonopeus: 35,8 km/s
Radiantin R,A,: 14:55 (223,8°)
Radiantin Dekl,: 75,7°
Meteoriparvi: Ursidit
Meteoroidin rataelementit:
Perihelietäisyys: 0,946 AU
Eksentrisyys: 0,896
Inklinaatio: 53,2°
Nousevan solmun pituus: 270,4°
Perihelin argumentti: 203,4°
Keskianomalia: 359,4°
Epookki: 2020 DEC 22 01:53:12
orbit plot

Ei-interaktiivinen kuvaaja | Interaktiivinen kuvaaja

position vs time
speed and acceleration