🇳🇴 🇬🇧 🇩🇪 🇨🇿 🇫🇮

Meteor über Vansbro 2020-12-22 01:53:12 UTC

KML-Datei  |  Interaktive Karte

Die Karte zeigt die Peilungen für den Meteor. Die helleren Linien zeigen die Richtungen von den Beobachtungsorten beim Erscheinen des Meteors, und die dunkleren Linien, wo er zuletzt gesehen wurde. Der blaue Pfeil zeigt die sichtbare Bahn des Meteors.

static map
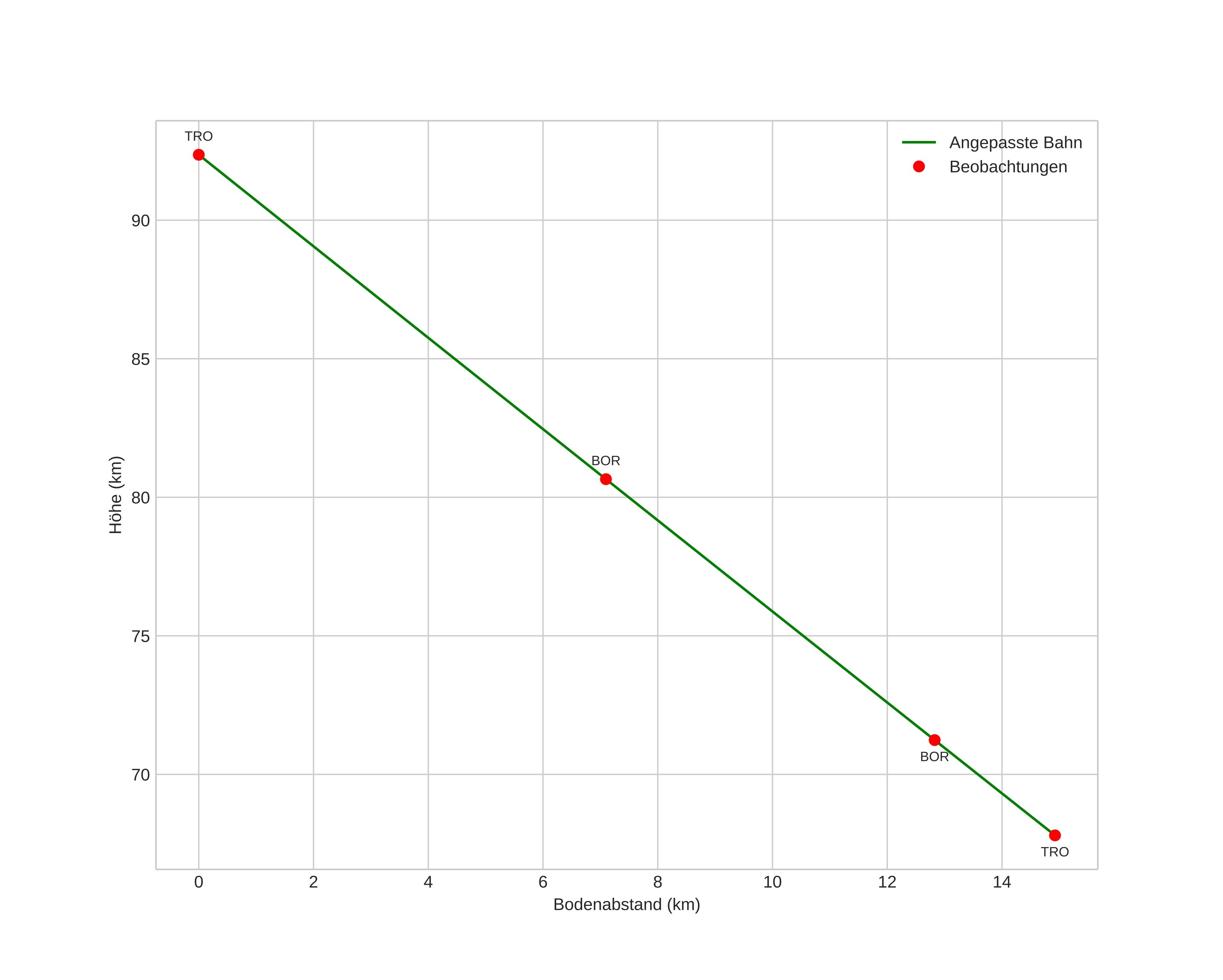
height profile
Atmosphärische Bahn des Meteors:
Anfangshöhe: 87,7 km
Endhöhe: 69,8 km
Startposition: 60,575N 14,140E
Endposition: 60,486N 14,044E
Richtung: 208,1°
Neigungswinkel: 58,0°
Eintrittsgeschwindigkeit: 35,8 km/s
Rektaszension des Radianten: 14:55 (223,8°)
Deklination des Radianten: 75,7°
Meteorstrom: Ursiden
Bahnelemente des Meteoroiden:
Periheldistanz: 0,946 AU
Exzentrizität: 0,896
Inklination: 53,2°
Länge des aufsteigenden Knotens: 270,4°
Argument des Perihels: 203,4°
Mittlere Anomalie: 359,4°
Epoche: 2020 DEC 22 01:53:12
orbit plot

Nicht-interaktives Diagramm | Interaktives Diagramm

position vs time
speed and acceleration