🇳🇴 🇬🇧 🇩🇪 🇨🇿 🇫🇮

Meteor, poloha: Skjervøy 2020-12-22 02:16:57 UTC

Soubor KML  |  InteraktivnĂ­ mapa

Mapa zobrazuje dráhy meteoru. Světlejší čáry ukazují směry od pozorovacích stanic při objevení se meteoru a tmavší čáry, kde byl naposledy viděn. Modrá šipka značí viditelnou dráhu meteoru.

static map
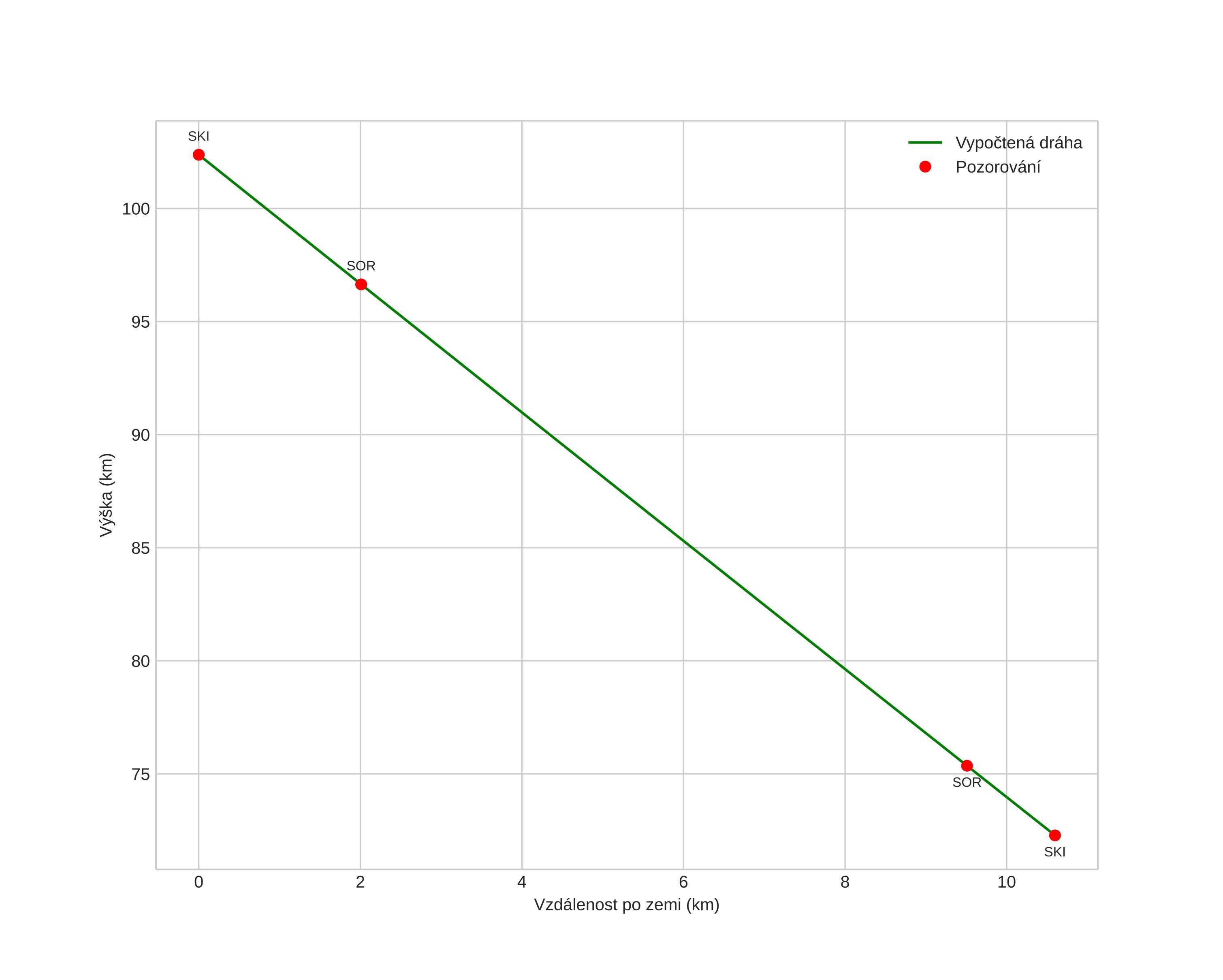
height profile
Atmosférická dráha meteoru:
Počáteční výška: 104,0 km
Konečná výška: 72,7 km
Počáteční poloha: 70,784N 21,011E
Konečná poloha: 70,719N 20,796E
Směr: 227,5°
Sklon: 71,1°
VstupnĂ­ rychlost: 34,9 km/s
Rektascenze radiantu: 14:13 (213,5°)
Deklinace radiantu: 75,0°
MeteorickĂ˝ roj: Ursidy
Elementy dráhy meteoroidu:
Vzdálenost v periheliu: 0,932 AU
Excentricita: 0,770
Sklon dráhy: 53,4°
Délka vzestupného uzlu: 270,4°
Argument perihelia: 208,6°
Střední anomálie: 357,5°
Epocha: 2020 DEC 22 02:16:57
orbit plot

NeinteraktivnĂ­ graf | InteraktivnĂ­ graf

position vs time
speed and acceleration