🇳🇴 🇬🇧 🇩🇪 🇨🇿 🇫🇮

Meteor Skjervøyn yllä 2020-12-22 02:16:57 UTC

KML-tiedosto  |  Interaktiivinen kartta

Kartta näyttää meteorin suuntahavainnot. Vaaleammat viivat näyttävät suunnat havaintoasemilta meteorin ilmestyessä, ja tummemmat viivat näyttävät, missä se viimeksi nähtiin. Sininen nuoli näyttää meteorin näkyvän lennon.

static map
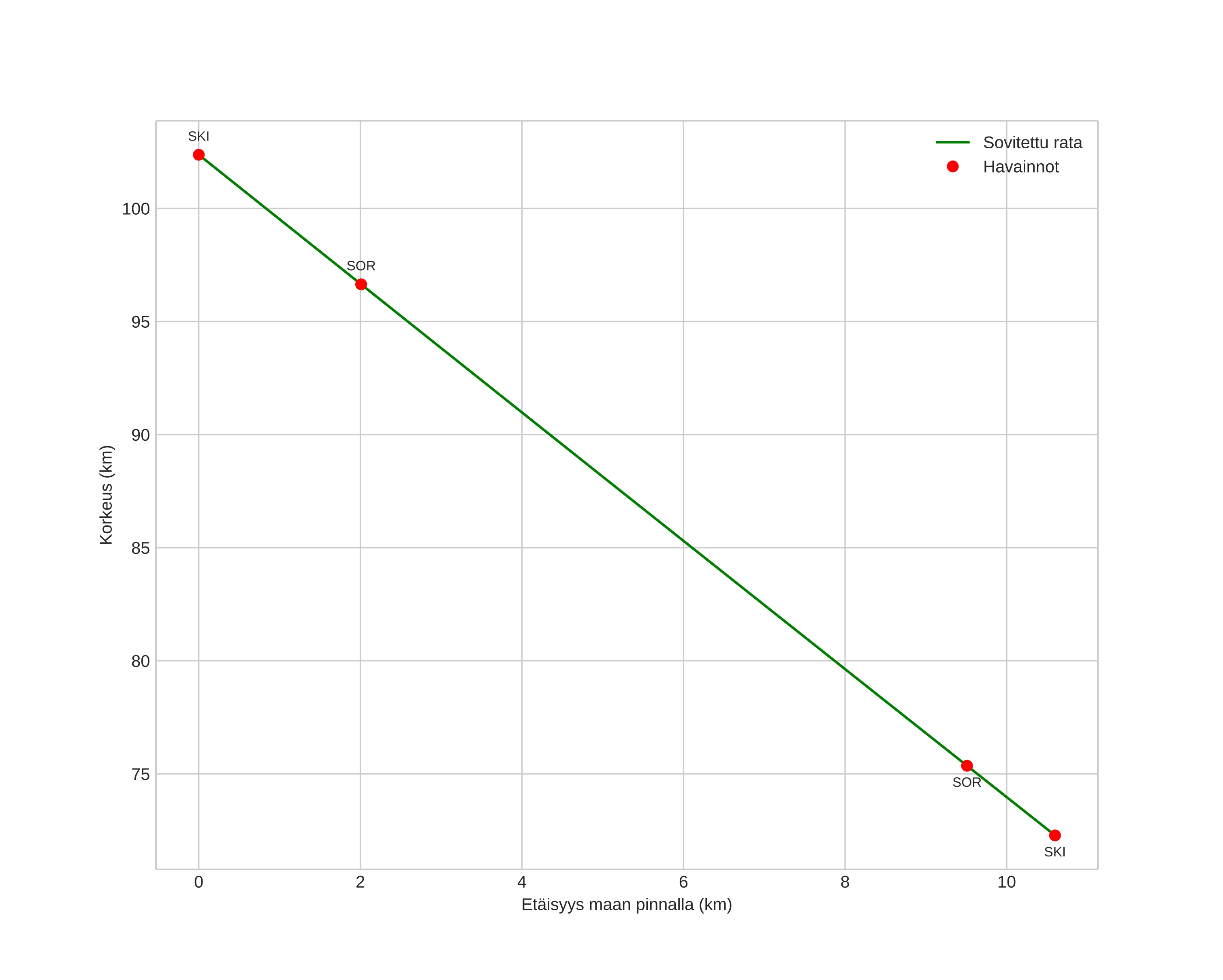
height profile
Meteorin ilmakehärata:
Alkukorkeus: 104,0 km
Loppukorkeus: 72,7 km
Alkupiste: 70,784N 21,011E
Loppupiste: 70,719N 20,796E
Suunta: 227,5°
Kallistuskulma: 71,1°
Tulonopeus: 34,9 km/s
Radiantin R,A,: 14:13 (213,5°)
Radiantin Dekl,: 75,0°
Meteoriparvi: Ursidit
Meteoroidin rataelementit:
Perihelietäisyys: 0,932 AU
Eksentrisyys: 0,770
Inklinaatio: 53,4°
Nousevan solmun pituus: 270,4°
Perihelin argumentti: 208,6°
Keskianomalia: 357,5°
Epookki: 2020 DEC 22 02:16:57
orbit plot

Ei-interaktiivinen kuvaaja | Interaktiivinen kuvaaja

position vs time
speed and acceleration