🇳🇴 🇬🇧 🇩🇪 🇨🇿 🇫🇮

Meteor über Skjervøy 2020-12-22 02:16:57 UTC

KML-Datei  |  Interaktive Karte

Die Karte zeigt die Peilungen für den Meteor. Die helleren Linien zeigen die Richtungen von den Beobachtungsorten beim Erscheinen des Meteors, und die dunkleren Linien, wo er zuletzt gesehen wurde. Der blaue Pfeil zeigt die sichtbare Bahn des Meteors.

static map
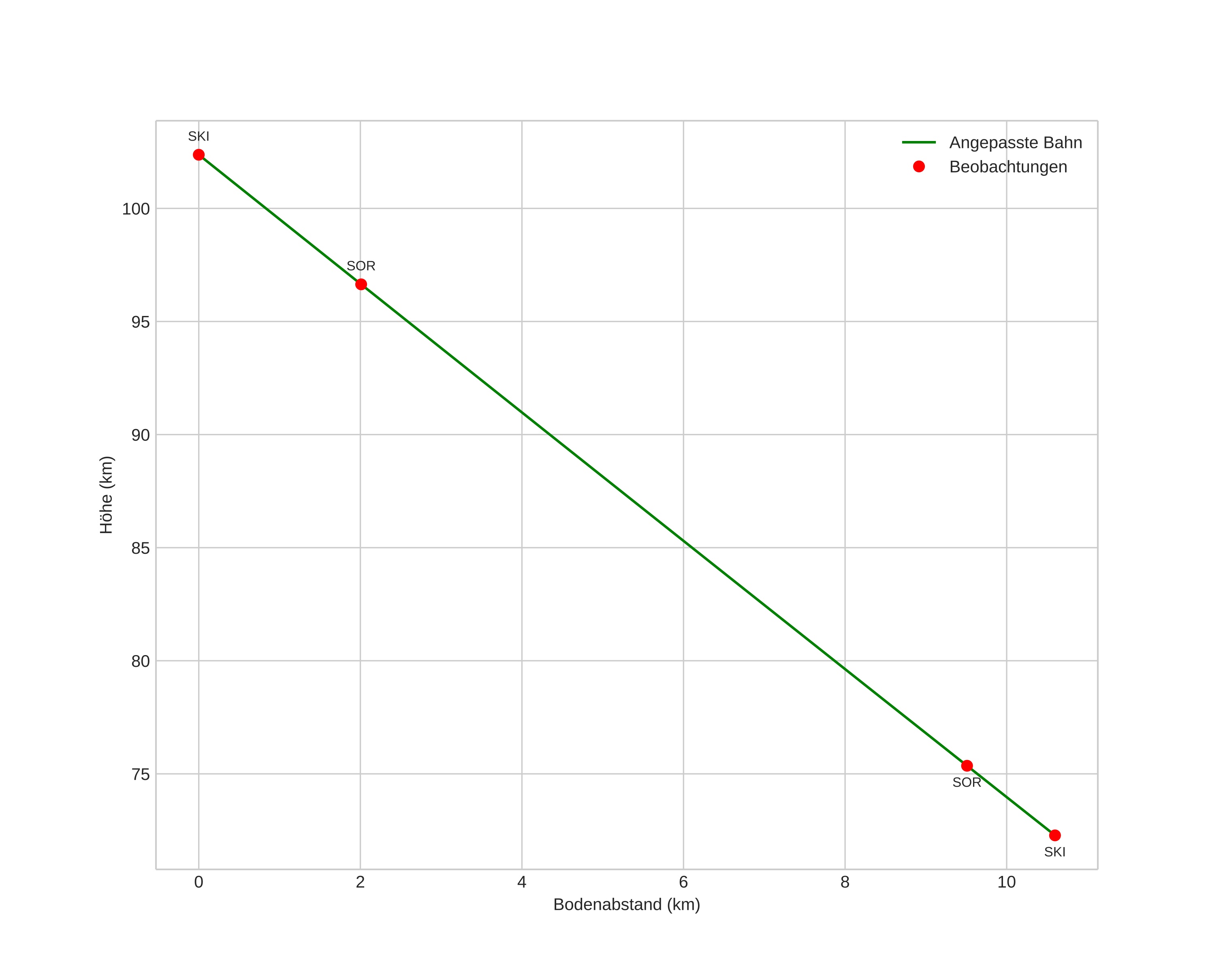
height profile
Atmosphärische Bahn des Meteors:
Anfangshöhe: 104,0 km
Endhöhe: 72,7 km
Startposition: 70,784N 21,011E
Endposition: 70,719N 20,796E
Richtung: 227,5°
Neigungswinkel: 71,1°
Eintrittsgeschwindigkeit: 34,9 km/s
Rektaszension des Radianten: 14:13 (213,5°)
Deklination des Radianten: 75,0°
Meteorstrom: Ursiden
Bahnelemente des Meteoroiden:
Periheldistanz: 0,932 AU
Exzentrizität: 0,770
Inklination: 53,4°
Länge des aufsteigenden Knotens: 270,4°
Argument des Perihels: 208,6°
Mittlere Anomalie: 357,5°
Epoche: 2020 DEC 22 02:16:57
orbit plot

Nicht-interaktives Diagramm | Interaktives Diagramm

position vs time
speed and acceleration