🇳🇴 🇬🇧 🇩🇪 🇨🇿 🇫🇮

Meteor, poloha: Storsteinnes 2020-12-22 03:07:57 UTC

Soubor KML

Mapa zobrazuje dráhy meteoru. Světlejší čáry ukazují směry od pozorovacích stanic při objevení se meteoru a tmavší čáry, kde byl naposledy viděn. Modrá šipka značí viditelnou dráhu meteoru.

static map
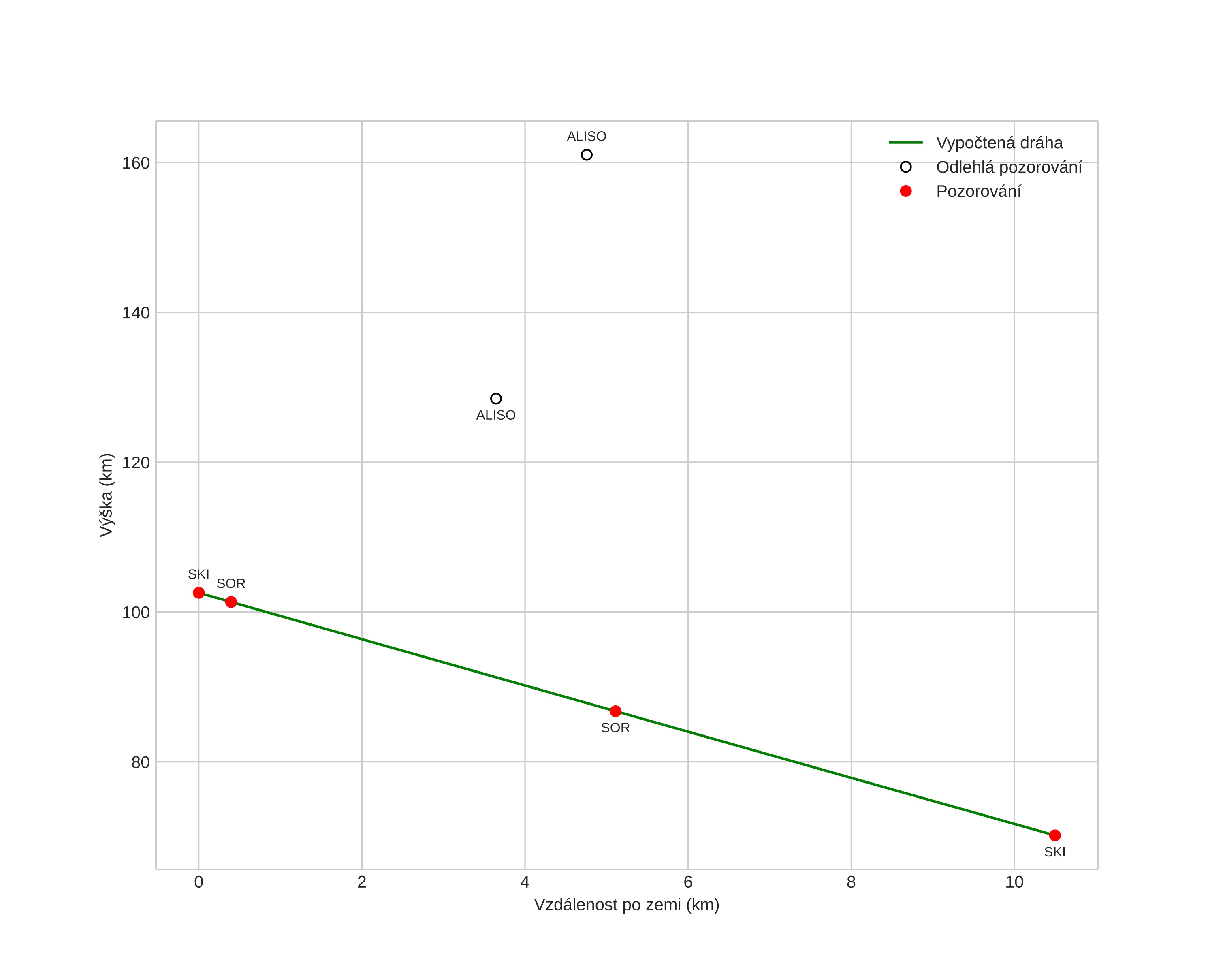
height profile
Atmosférická dráha meteoru:
Počáteční výška: 102,6 km
Konečná výška: 70,2 km
Počáteční poloha: 69,225N 19,258E
Konečná poloha: 69,154N 19,080E
Směr: 222,0°
Sklon: 72,0°
VstupnĂ­ rychlost: 35,6 km/s
Rektascenze radiantu: 14:29 (217,4°)
Deklinace radiantu: 76,3°
MeteorickĂ˝ roj: Ursidy
Elementy dráhy meteoroidu:
Vzdálenost v periheliu: 0,935 AU
Excentricita: 0,871
Sklon dráhy: 53,2°
Délka vzestupného uzlu: 270,4°
Argument perihelia: 206,6°
Střední anomálie: 359,1°
Epocha: 2020 DEC 22 03:07:57
orbit plot

NeinteraktivnĂ­ graf

position vs time
speed and acceleration