🇳🇴 🇬🇧 🇩🇪 🇨🇿 🇫🇮

Meteor über Storsteinnes 2020-12-22 03:07:57 UTC

KML-Datei  |  Interaktive Karte

Die Karte zeigt die Peilungen für den Meteor. Die helleren Linien zeigen die Richtungen von den Beobachtungsorten beim Erscheinen des Meteors, und die dunkleren Linien, wo er zuletzt gesehen wurde. Der blaue Pfeil zeigt die sichtbare Bahn des Meteors.

static map
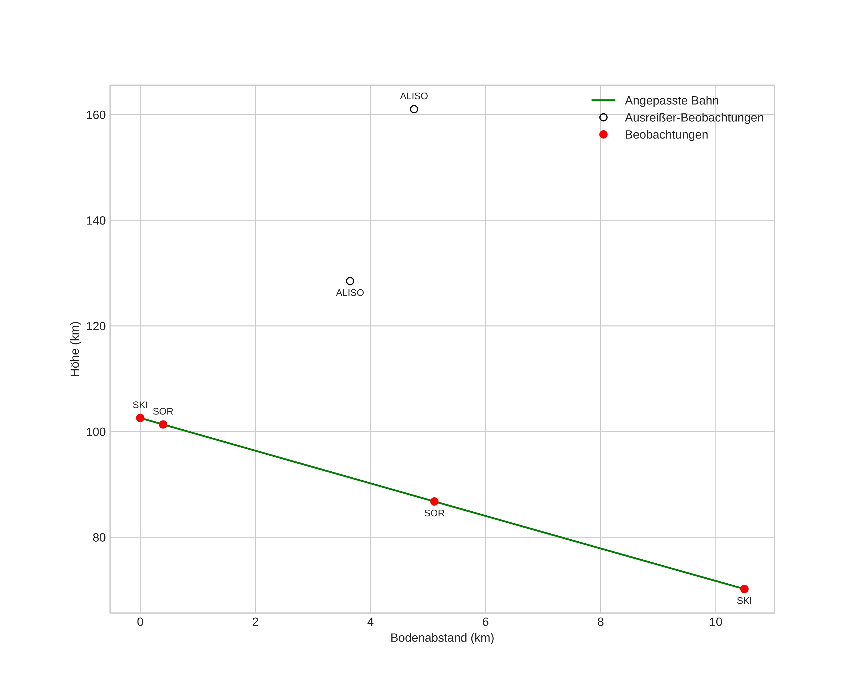
height profile
Atmosphärische Bahn des Meteors:
Anfangshöhe: 105,7 km
Endhöhe: 69,9 km
Startposition: 69,233N 19,275E
Endposition: 69,155N 19,083E
Richtung: 221,4°
Neigungswinkel: 72,2°
Eintrittsgeschwindigkeit: 35,7 km/s
Rektaszension des Radianten: 14:27 (216,8°)
Deklination des Radianten: 76,5°
Meteorstrom: Ursiden
Bahnelemente des Meteoroiden:
Periheldistanz: 0,934 AU
Exzentrizität: 0,876
Inklination: 53,2°
Länge des aufsteigenden Knotens: 270,4°
Argument des Perihels: 206,9°
Mittlere Anomalie: 359,1°
Epoche: 2020 DEC 22 03:07:57
orbit plot

Nicht-interaktives Diagramm | Interaktives Diagramm

position vs time
speed and acceleration