🇳🇴 🇬🇧 🇩🇪 🇨🇿 🇫🇮

Meteor Storsteinnesin yllä 2020-12-22 03:07:57 UTC

KML-tiedosto  |  Interaktiivinen kartta

Kartta näyttää meteorin suuntahavainnot. Vaaleammat viivat näyttävät suunnat havaintoasemilta meteorin ilmestyessä, ja tummemmat viivat näyttävät, missä se viimeksi nähtiin. Sininen nuoli näyttää meteorin näkyvän lennon.

static map
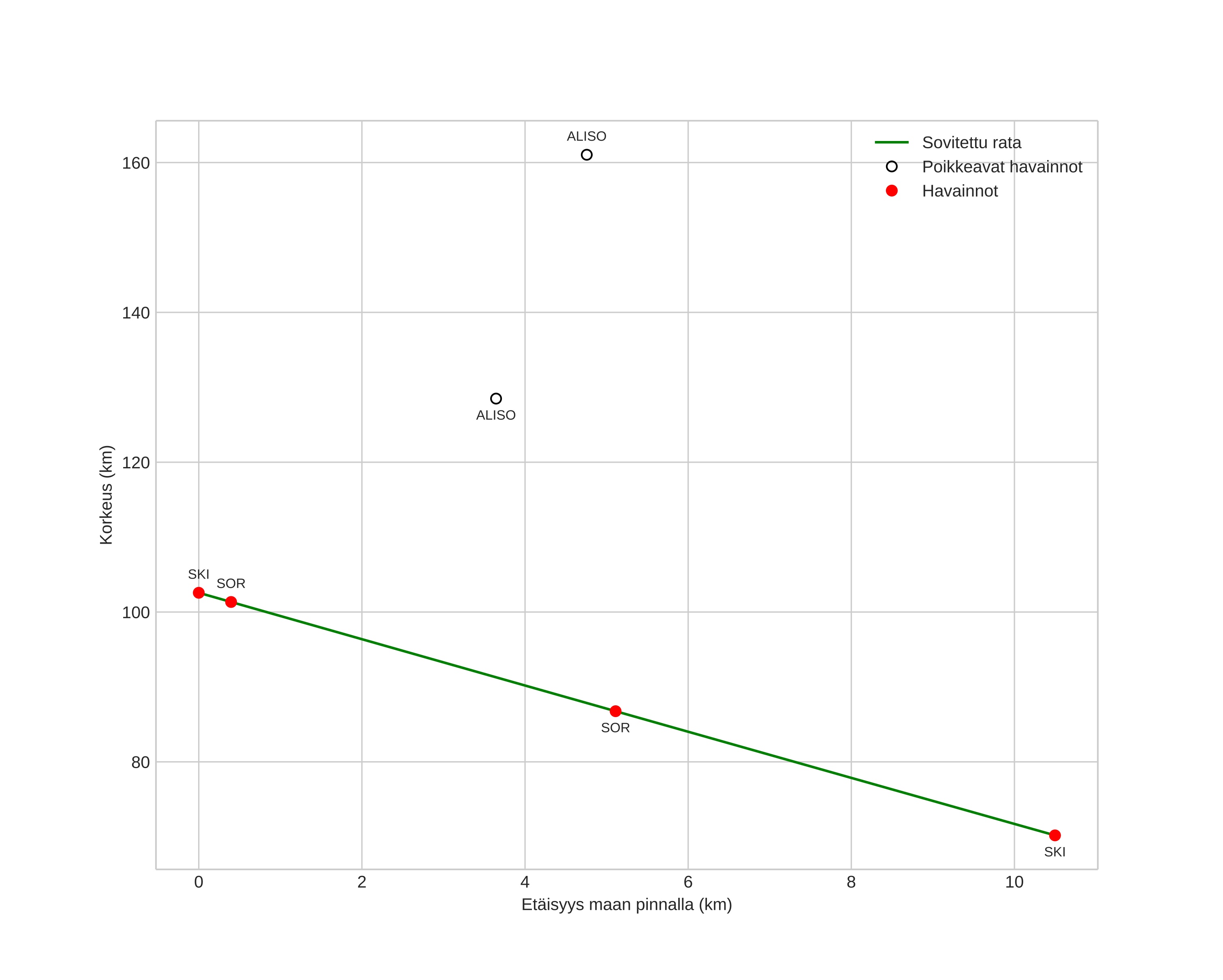
height profile
Meteorin ilmakehärata:
Alkukorkeus: 105,7 km
Loppukorkeus: 69,9 km
Alkupiste: 69,233N 19,275E
Loppupiste: 69,155N 19,083E
Suunta: 221,4°
Kallistuskulma: 72,2°
Tulonopeus: 35,7 km/s
Radiantin R,A,: 14:27 (216,8°)
Radiantin Dekl,: 76,5°
Meteoriparvi: Ursidit
Meteoroidin rataelementit:
Perihelietäisyys: 0,934 AU
Eksentrisyys: 0,876
Inklinaatio: 53,2°
Nousevan solmun pituus: 270,4°
Perihelin argumentti: 206,9°
Keskianomalia: 359,1°
Epookki: 2020 DEC 22 03:07:57
orbit plot

Ei-interaktiivinen kuvaaja | Interaktiivinen kuvaaja

position vs time
speed and acceleration