🇳🇴 🇬🇧 🇩🇪 🇨🇿 🇫🇮

Meteor, poloha: Ellös 2020-12-24 22:24:53 UTC

Soubor KML  |  InteraktivnĂ­ mapa

Mapa zobrazuje dráhy meteoru. Světlejší čáry ukazují směry od pozorovacích stanic při objevení se meteoru a tmavší čáry, kde byl naposledy viděn. Modrá šipka značí viditelnou dráhu meteoru.

static map
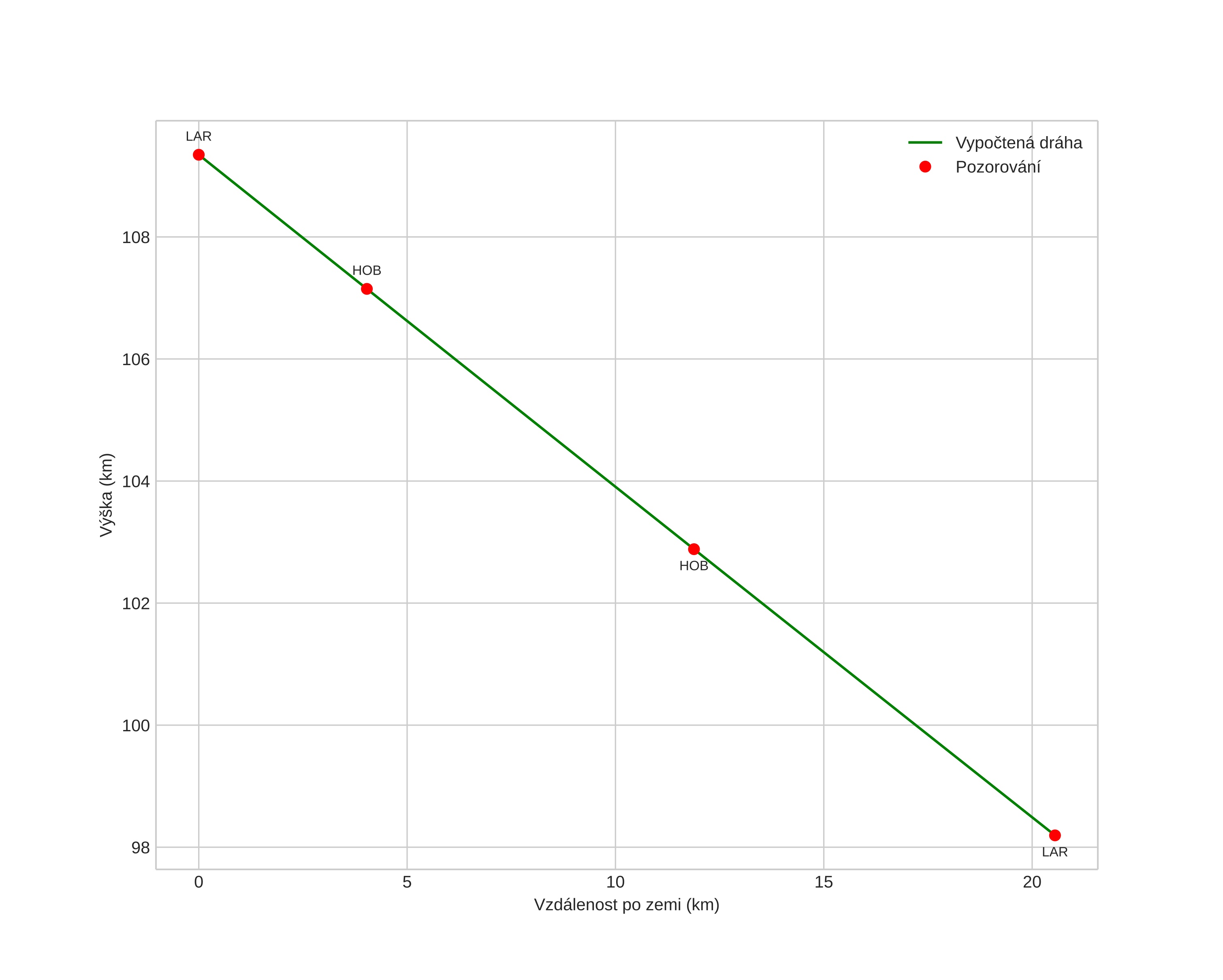
height profile
Atmosférická dráha meteoru:
Počáteční výška: 109,3 km
Konečná výška: 98,2 km
Počáteční poloha: 58,001N 11,606E
Konečná poloha: 57,972N 11,262E
Směr: 261,0°
Sklon: 28,4°
VstupnĂ­ rychlost: 60,4 km/s
Rektascenze radiantu: 10:51 (162,8°)
Deklinace radiantu: 28,1°
MeteorickĂ˝ roj: desember-leonis-minoridene
Elementy dráhy meteoroidu:
Vzdálenost v periheliu: 0,412 AU
Excentricita: 0,855
Sklon dráhy: 132,8°
Délka vzestupného uzlu: 273,3°
Argument perihelia: 285,1°
Střední anomálie: 351,5°
Epocha: 2020 DEC 24 22:24:53
orbit plot

NeinteraktivnĂ­ graf | InteraktivnĂ­ graf

position vs time
speed and acceleration