🇳🇴 🇬🇧 🇩🇪 🇨🇿 🇫🇮

Meteor über Ellös 2020-12-24 22:24:53 UTC

KML-Datei  |  Interaktive Karte

Die Karte zeigt die Peilungen für den Meteor. Die helleren Linien zeigen die Richtungen von den Beobachtungsorten beim Erscheinen des Meteors, und die dunkleren Linien, wo er zuletzt gesehen wurde. Der blaue Pfeil zeigt die sichtbare Bahn des Meteors.

static map
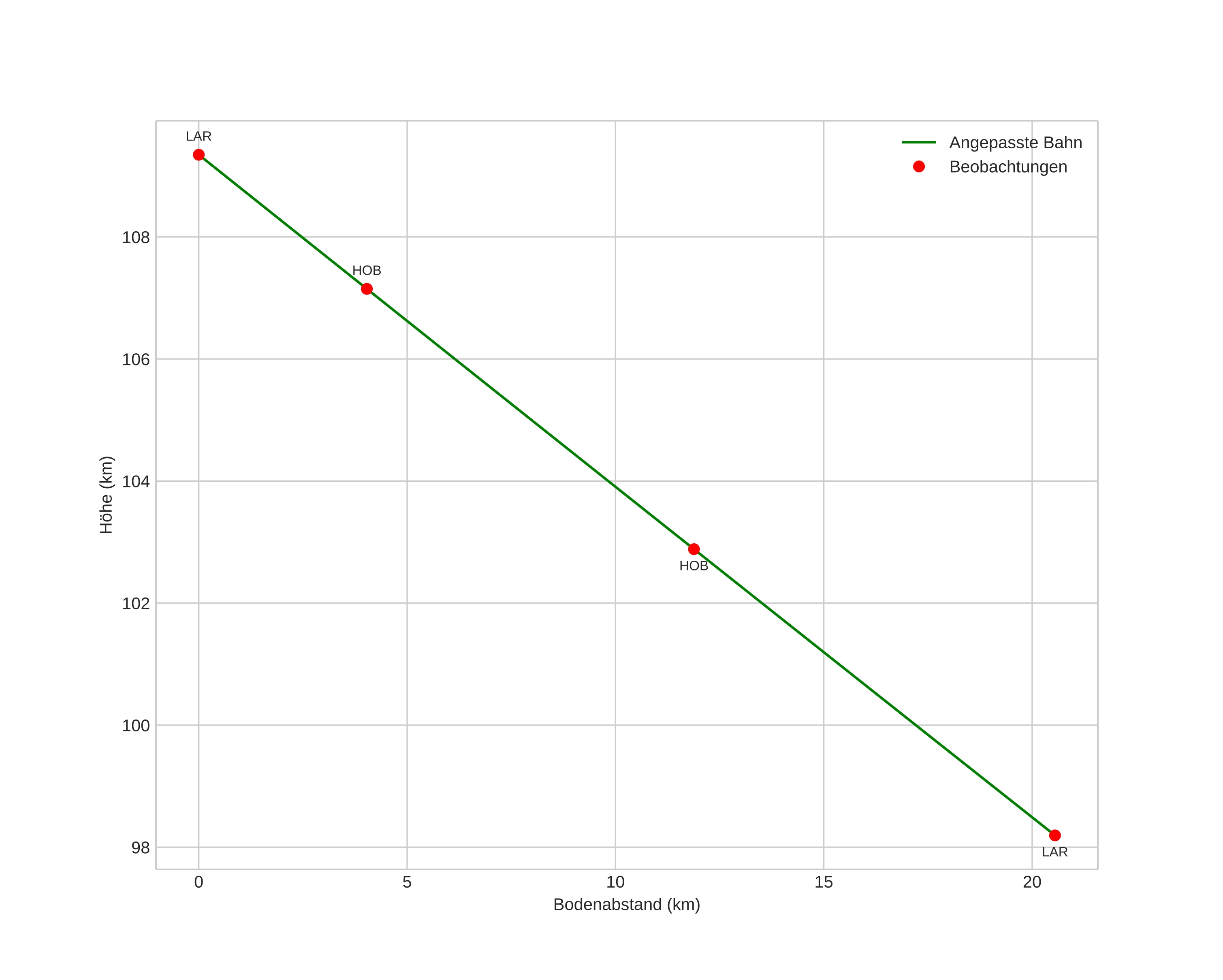
height profile
Atmosphärische Bahn des Meteors:
Anfangshöhe: 109,3 km
Endhöhe: 98,2 km
Startposition: 58,001N 11,606E
Endposition: 57,972N 11,262E
Richtung: 261,0°
Neigungswinkel: 28,4°
Eintrittsgeschwindigkeit: 60,4 km/s
Rektaszension des Radianten: 10:51 (162,8°)
Deklination des Radianten: 28,1°
Meteorstrom: desember-leonis-minoridene
Bahnelemente des Meteoroiden:
Periheldistanz: 0,412 AU
Exzentrizität: 0,855
Inklination: 132,8°
Länge des aufsteigenden Knotens: 273,3°
Argument des Perihels: 285,1°
Mittlere Anomalie: 351,5°
Epoche: 2020 DEC 24 22:24:53
orbit plot

Nicht-interaktives Diagramm | Interaktives Diagramm

position vs time
speed and acceleration