🇳🇴 🇬🇧 🇩🇪 🇨🇿 🇫🇮

Meteor Ellösin yllä 2020-12-24 22:24:53 UTC

KML-tiedosto  |  Interaktiivinen kartta

Kartta näyttää meteorin suuntahavainnot. Vaaleammat viivat näyttävät suunnat havaintoasemilta meteorin ilmestyessä, ja tummemmat viivat näyttävät, missä se viimeksi nähtiin. Sininen nuoli näyttää meteorin näkyvän lennon.

static map
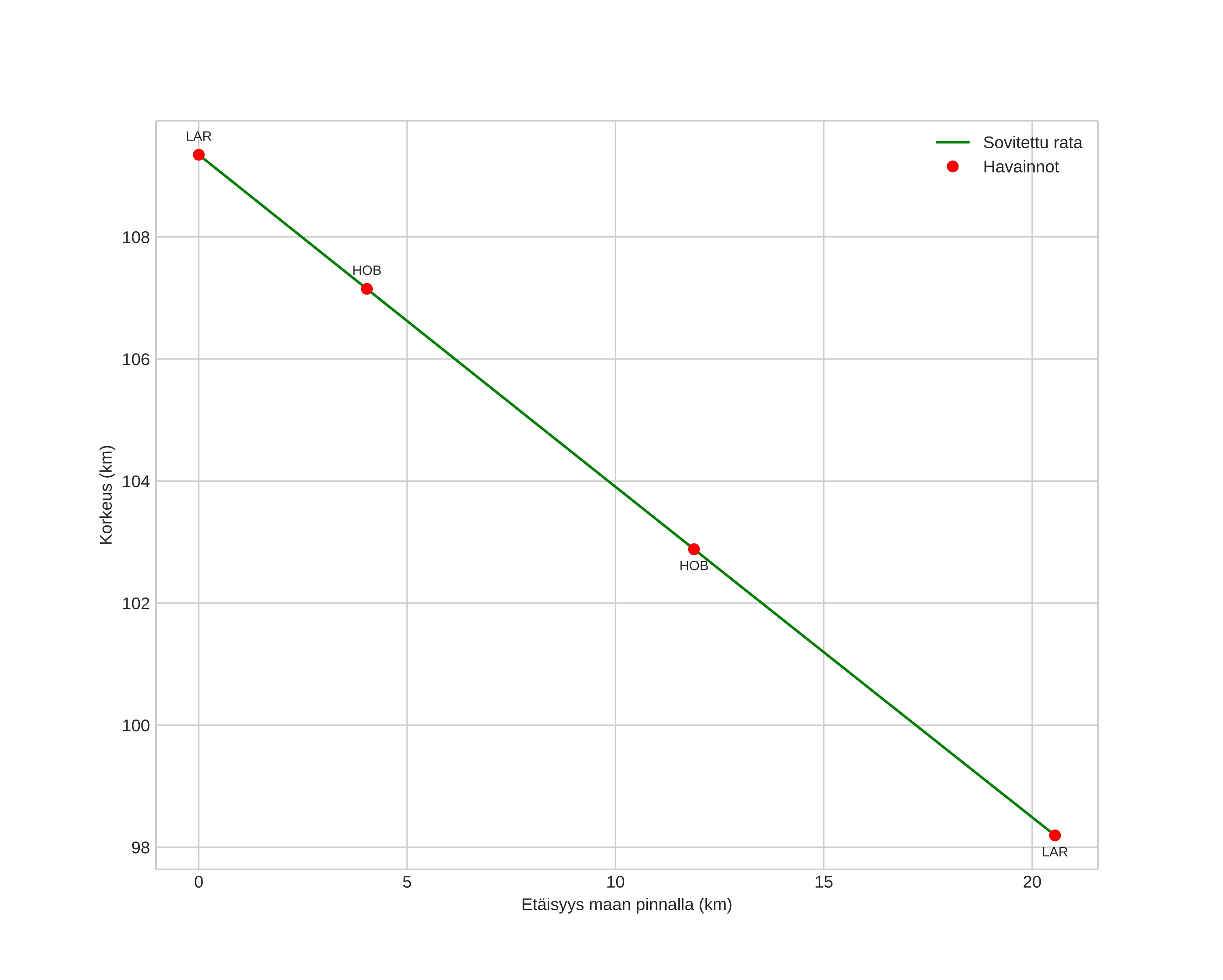
height profile
Meteorin ilmakehärata:
Alkukorkeus: 109,3 km
Loppukorkeus: 98,2 km
Alkupiste: 58,001N 11,606E
Loppupiste: 57,972N 11,262E
Suunta: 261,0°
Kallistuskulma: 28,4°
Tulonopeus: 60,4 km/s
Radiantin R,A,: 10:51 (162,8°)
Radiantin Dekl,: 28,1°
Meteoriparvi: desember-leonis-minoridene
Meteoroidin rataelementit:
Perihelietäisyys: 0,412 AU
Eksentrisyys: 0,855
Inklinaatio: 132,8°
Nousevan solmun pituus: 273,3°
Perihelin argumentti: 285,1°
Keskianomalia: 351,5°
Epookki: 2020 DEC 24 22:24:53
orbit plot

Ei-interaktiivinen kuvaaja | Interaktiivinen kuvaaja

position vs time
speed and acceleration