🇳🇴 🇬🇧 🇩🇪 🇨🇿 🇫🇮

Meteor, poloha: Andalen 2021-01-26 04:39:45 UTC

Soubor KML  |  InteraktivnĂ­ mapa

Mapa zobrazuje dráhy meteoru. Světlejší čáry ukazují směry od pozorovacích stanic při objevení se meteoru a tmavší čáry, kde byl naposledy viděn. Modrá šipka značí viditelnou dráhu meteoru.

static map
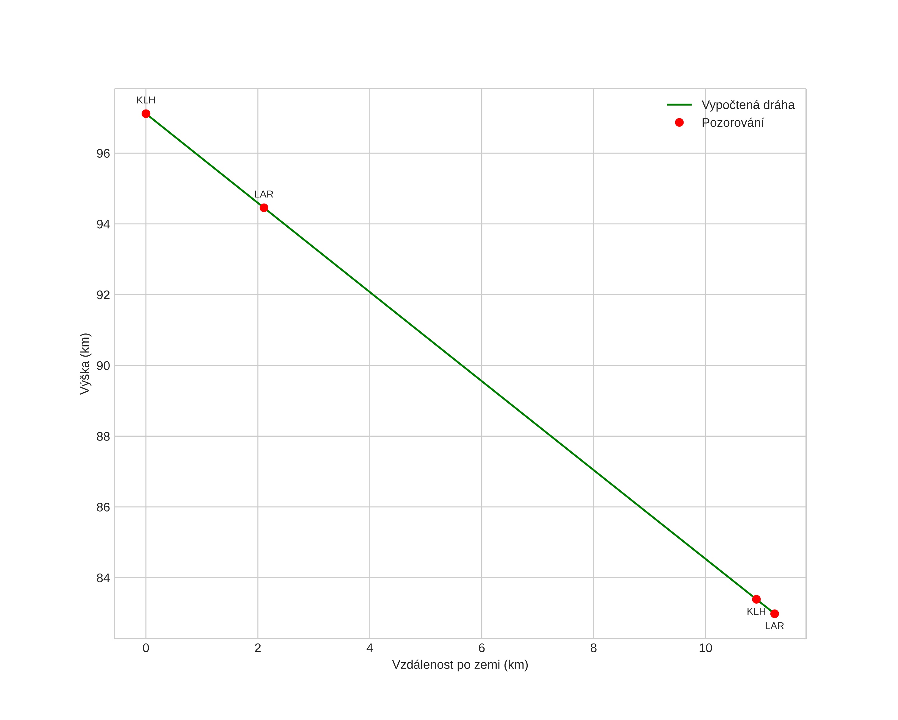
height profile
Atmosférická dráha meteoru:
Počáteční výška: 97,1 km
Konečná výška: 82,9 km
Počáteční poloha: 57,653N 11,572E
Konečná poloha: 57,664N 11,760E
Směr: 83,8°
Sklon: 51,5°
VstupnĂ­ rychlost: 38,1 km/s
Rektascenze radiantu: 10:13 (153,5°)
Deklinace radiantu: 37,9°
MeteorickĂ˝ roj: sporadickĂ˝
Elementy dráhy meteoroidu:
Vzdálenost v periheliu: 0,394 AU
Excentricita: 0,965
Sklon dráhy: 35,6°
Délka vzestupného uzlu: 306,2°
Argument perihelia: 282,8°
Střední anomálie: 359,0°
Epocha: 2021 JAN 26 04:39:45
orbit plot

NeinteraktivnĂ­ graf | InteraktivnĂ­ graf

position vs time
speed and acceleration