🇳🇴 🇬🇧 🇩🇪 🇨🇿 🇫🇮

Meteor über Andalen 2021-01-26 04:39:45 UTC

KML-Datei  |  Interaktive Karte

Die Karte zeigt die Peilungen für den Meteor. Die helleren Linien zeigen die Richtungen von den Beobachtungsorten beim Erscheinen des Meteors, und die dunkleren Linien, wo er zuletzt gesehen wurde. Der blaue Pfeil zeigt die sichtbare Bahn des Meteors.

static map
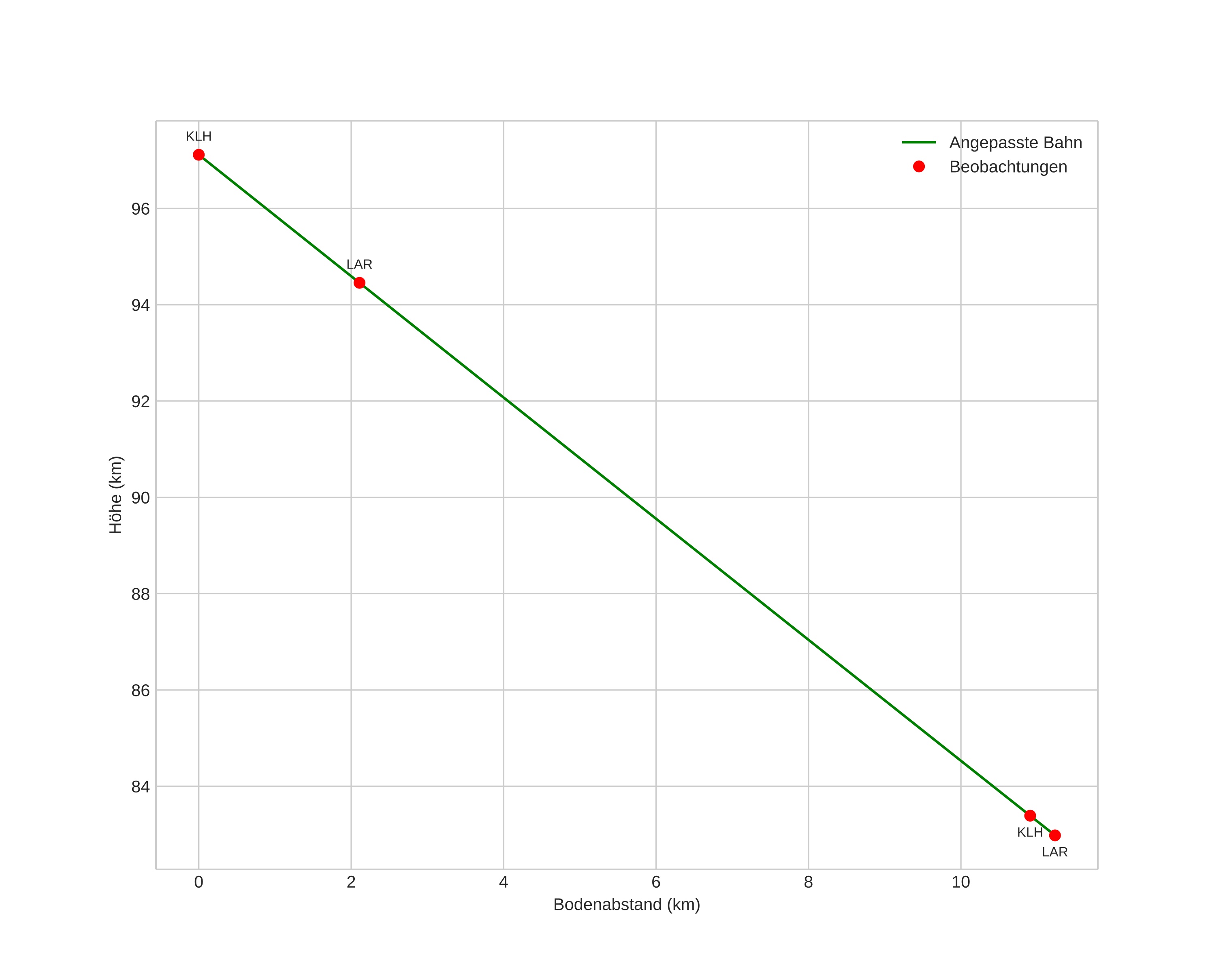
height profile
Atmosphärische Bahn des Meteors:
Anfangshöhe: 97,1 km
Endhöhe: 82,9 km
Startposition: 57,653N 11,572E
Endposition: 57,664N 11,760E
Richtung: 83,8°
Neigungswinkel: 51,5°
Eintrittsgeschwindigkeit: 38,1 km/s
Rektaszension des Radianten: 10:13 (153,5°)
Deklination des Radianten: 37,9°
Meteorstrom: sporadisch
Bahnelemente des Meteoroiden:
Periheldistanz: 0,394 AU
Exzentrizität: 0,965
Inklination: 35,6°
Länge des aufsteigenden Knotens: 306,2°
Argument des Perihels: 282,8°
Mittlere Anomalie: 359,0°
Epoche: 2021 JAN 26 04:39:45
orbit plot

Nicht-interaktives Diagramm | Interaktives Diagramm

position vs time
speed and acceleration