🇳🇴 🇬🇧 🇩🇪 🇨🇿 🇫🇮

Meteor Andalenin yllä 2021-01-26 04:39:45 UTC

KML-tiedosto  |  Interaktiivinen kartta

Kartta näyttää meteorin suuntahavainnot. Vaaleammat viivat näyttävät suunnat havaintoasemilta meteorin ilmestyessä, ja tummemmat viivat näyttävät, missä se viimeksi nähtiin. Sininen nuoli näyttää meteorin näkyvän lennon.

static map
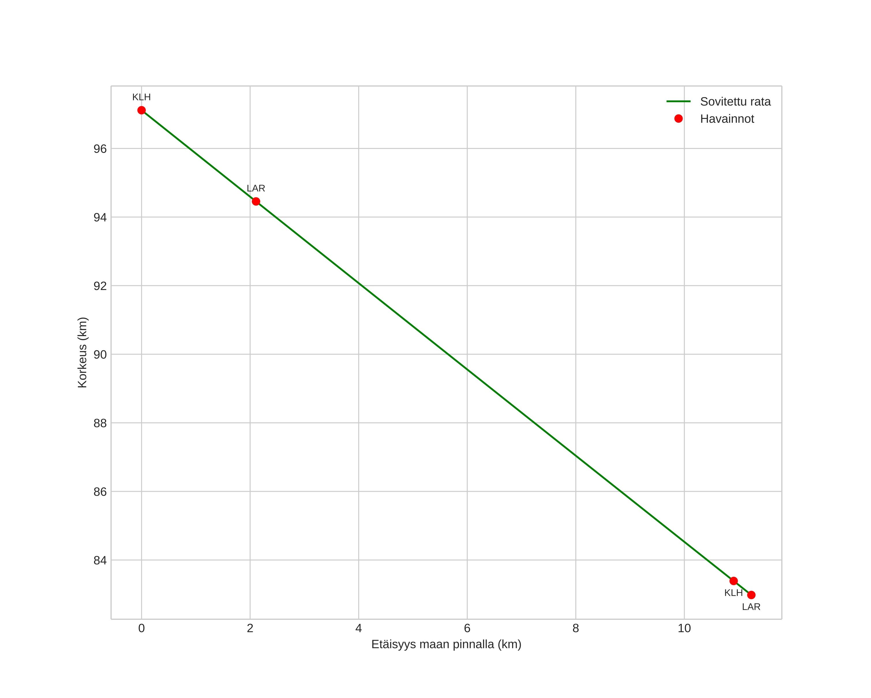
height profile
Meteorin ilmakehärata:
Alkukorkeus: 97,1 km
Loppukorkeus: 82,9 km
Alkupiste: 57,653N 11,572E
Loppupiste: 57,664N 11,760E
Suunta: 83,8°
Kallistuskulma: 51,5°
Tulonopeus: 38,1 km/s
Radiantin R,A,: 10:13 (153,5°)
Radiantin Dekl,: 37,9°
Meteoriparvi: Sporadinen
Meteoroidin rataelementit:
Perihelietäisyys: 0,394 AU
Eksentrisyys: 0,965
Inklinaatio: 35,6°
Nousevan solmun pituus: 306,2°
Perihelin argumentti: 282,8°
Keskianomalia: 359,0°
Epookki: 2021 JAN 26 04:39:45
orbit plot

Ei-interaktiivinen kuvaaja | Interaktiivinen kuvaaja

position vs time
speed and acceleration