🇳🇴 🇬🇧 🇩🇪 🇨🇿 🇫🇮

Meteor, poloha: Bengtsfors 2021-02-05 23:03:23 UTC

Soubor KML  |  InteraktivnĂ­ mapa

Mapa zobrazuje dráhy meteoru. Světlejší čáry ukazují směry od pozorovacích stanic při objevení se meteoru a tmavší čáry, kde byl naposledy viděn. Modrá šipka značí viditelnou dráhu meteoru.

static map
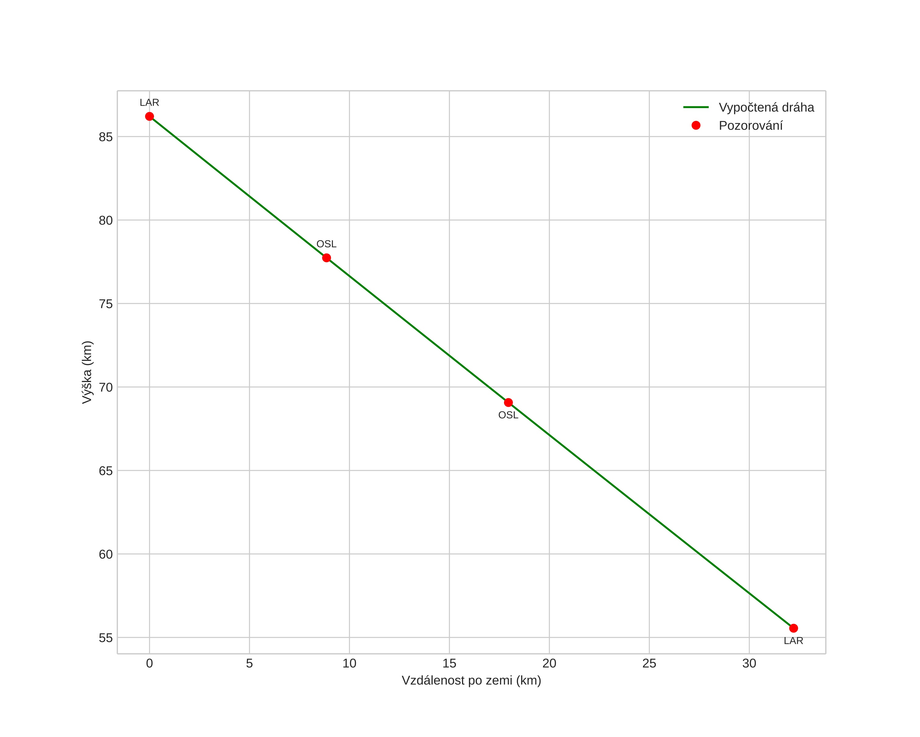
height profile
Atmosférická dráha meteoru:
Počáteční výška: 85,6 km
Konečná výška: 54,6 km
Počáteční poloha: 58,786N 12,202E
Konečná poloha: 59,075N 12,140E
Směr: 353,7°
Sklon: 43,8°
VstupnĂ­ rychlost: 24,7 km/s
Rektascenze radiantu: 09:13 (138,3°)
Deklinace radiantu: 10,0°
MeteorickĂ˝ roj: sporadickĂ˝
Elementy dráhy meteoroidu:
Vzdálenost v periheliu: 0,576 AU
Excentricita: 0,723
Sklon dráhy: 4,3°
Délka vzestupného uzlu: 137,1°
Argument perihelia: 89,5°
Střední anomálie: 345,1°
Epocha: 2021 FEB 05 23:03:23
orbit plot

NeinteraktivnĂ­ graf | InteraktivnĂ­ graf

position vs time
speed and acceleration