🇳🇴 🇬🇧 🇩🇪 🇨🇿 🇫🇮

Meteor Bengtsforsin yllä 2021-02-05 23:03:23 UTC

KML-tiedosto  |  Interaktiivinen kartta

Kartta näyttää meteorin suuntahavainnot. Vaaleammat viivat näyttävät suunnat havaintoasemilta meteorin ilmestyessä, ja tummemmat viivat näyttävät, missä se viimeksi nähtiin. Sininen nuoli näyttää meteorin näkyvän lennon.

static map
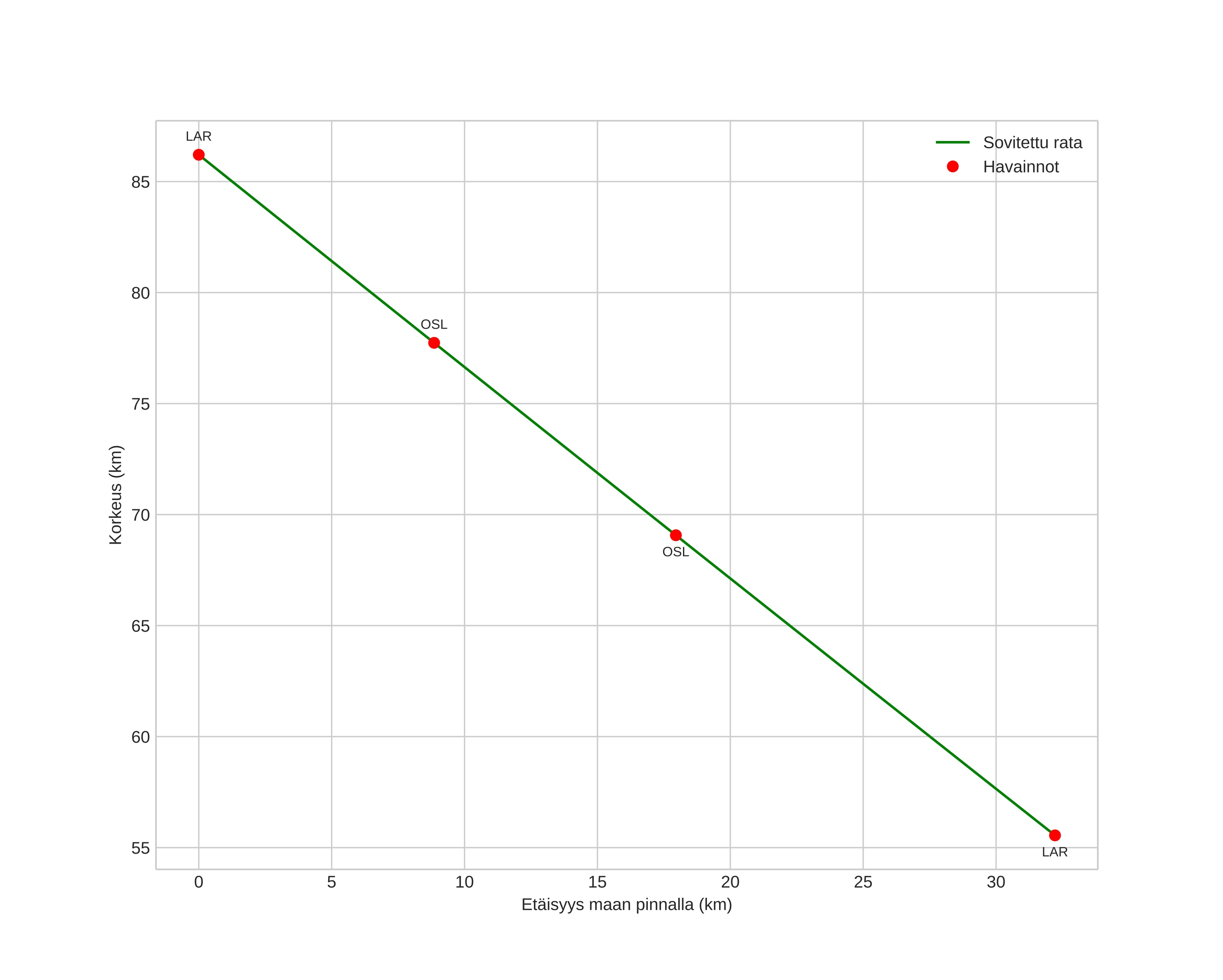
height profile
Meteorin ilmakehärata:
Alkukorkeus: 85,6 km
Loppukorkeus: 54,6 km
Alkupiste: 58,786N 12,202E
Loppupiste: 59,075N 12,140E
Suunta: 353,7°
Kallistuskulma: 43,8°
Tulonopeus: 24,7 km/s
Radiantin R,A,: 09:13 (138,3°)
Radiantin Dekl,: 10,0°
Meteoriparvi: Sporadinen
Meteoroidin rataelementit:
Perihelietäisyys: 0,576 AU
Eksentrisyys: 0,723
Inklinaatio: 4,3°
Nousevan solmun pituus: 137,1°
Perihelin argumentti: 89,5°
Keskianomalia: 345,1°
Epookki: 2021 FEB 05 23:03:23
orbit plot

Ei-interaktiivinen kuvaaja | Interaktiivinen kuvaaja

position vs time
speed and acceleration