🇳🇴 🇬🇧 🇩🇪 🇨🇿 🇫🇮

Meteor über Bengtsfors 2021-02-05 23:03:23 UTC

KML-Datei  |  Interaktive Karte

Die Karte zeigt die Peilungen für den Meteor. Die helleren Linien zeigen die Richtungen von den Beobachtungsorten beim Erscheinen des Meteors, und die dunkleren Linien, wo er zuletzt gesehen wurde. Der blaue Pfeil zeigt die sichtbare Bahn des Meteors.

static map
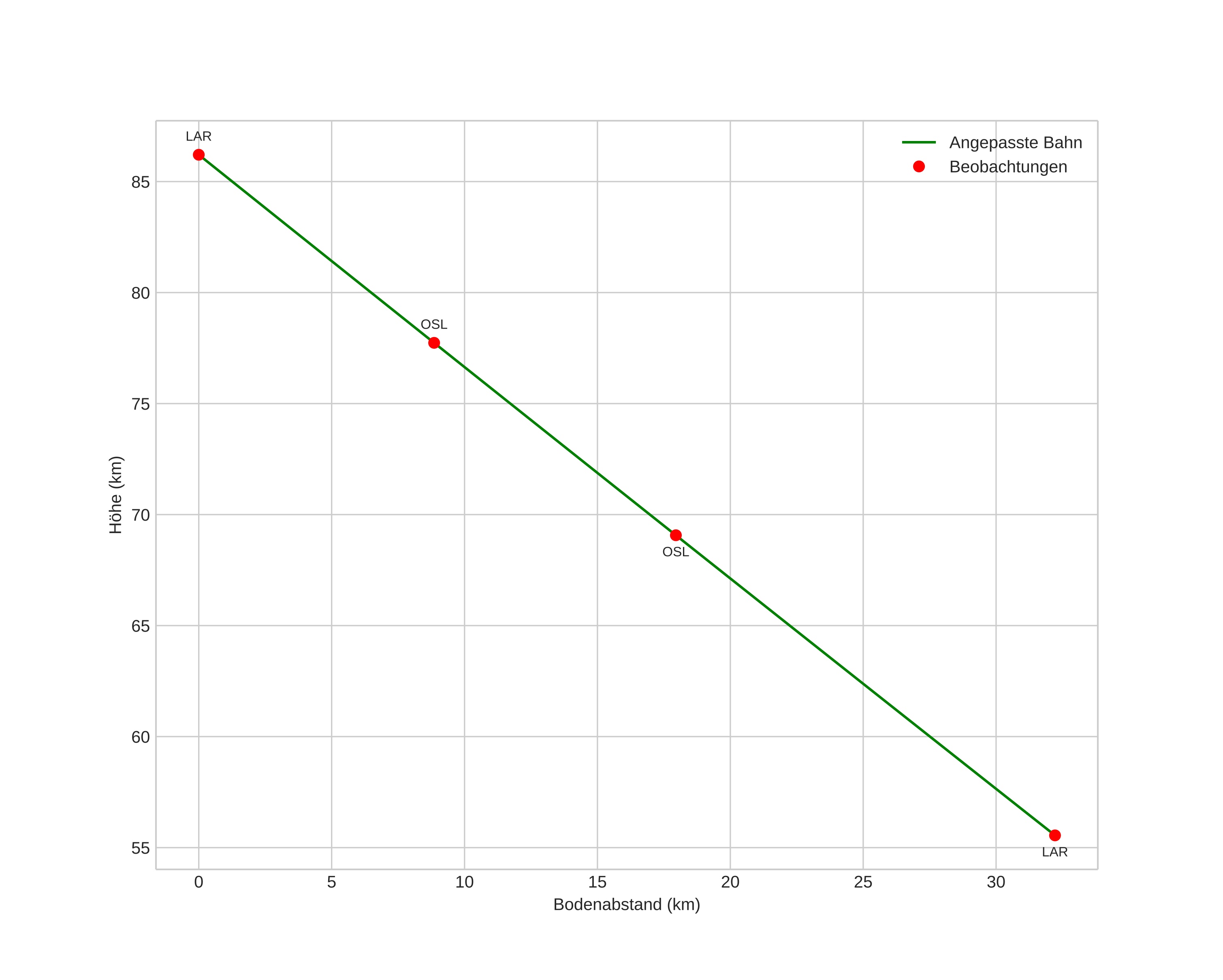
height profile
Atmosphärische Bahn des Meteors:
Anfangshöhe: 85,6 km
Endhöhe: 54,6 km
Startposition: 58,786N 12,202E
Endposition: 59,075N 12,140E
Richtung: 353,7°
Neigungswinkel: 43,8°
Eintrittsgeschwindigkeit: 24,7 km/s
Rektaszension des Radianten: 09:13 (138,3°)
Deklination des Radianten: 10,0°
Meteorstrom: sporadisch
Bahnelemente des Meteoroiden:
Periheldistanz: 0,576 AU
Exzentrizität: 0,723
Inklination: 4,3°
Länge des aufsteigenden Knotens: 137,1°
Argument des Perihels: 89,5°
Mittlere Anomalie: 345,1°
Epoche: 2021 FEB 05 23:03:23
orbit plot

Nicht-interaktives Diagramm | Interaktives Diagramm

position vs time
speed and acceleration