🇳🇴 🇬🇧 🇩🇪 🇨🇿 🇫🇮

Meteor, poloha: Nordstranda 2021-02-09 04:22:56 UTC

Ørsta – 1
Ørsta – 1
Trondheim – 1
Trondheim – 1

Soubor KML  | Interaktivní mapa

map

Mapa zobrazuje dráhy meteoru. Světlejší čáry ukazují směry od pozorovacích stanic při objevení se meteoru a tmavší čáry, kde byl naposledy viděn. Modrá šipka značí viditelnou dráhu meteoru.

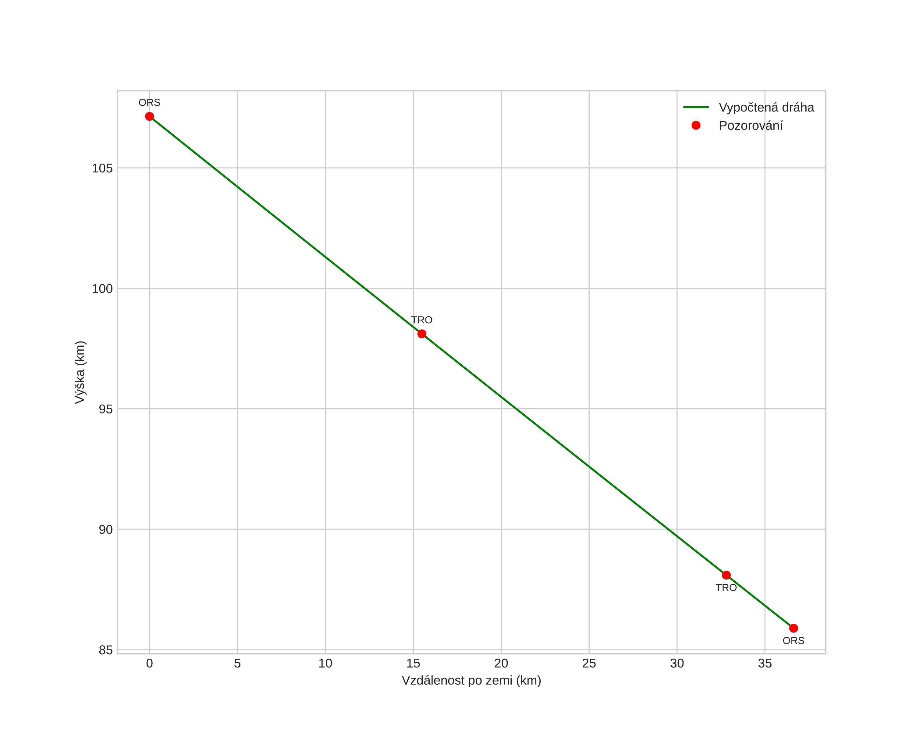
height profile
Atmosférická dráha meteoru:
Počáteční výška: 107,0 km
Konečná výška: 85,9 km
Počáteční poloha: 63,077N 6,853E
Konečná poloha: 63,103N 6,128E
Směr: 274,8°
Sklon: 30,0°
Vstupní rychlost: 43,7 km/s
Rektascenze radiantu: 18:54 (283,6°)
Deklinace radiantu: 23,5°
Meteorický roj: sporadický
Elementy dráhy meteoroidu:
Vzdálenost v periheliu: 0,630 AU
Excentricita: 0,971
Sklon dráhy: 64,2°
Délka vzestupného uzlu: 320,3°
Argument perihelia: 105,4°
Střední anomálie: 0,4°
Epocha: 2021 FEB 09 04:22:56
orbit

Neinteraktivní graf | Interaktivní graf

position vs time
speed & acceleration