🇳🇴 🇬🇧 🇩🇪 🇨🇿 🇫🇮

Meteor über Nordstranda 2021-02-09 04:22:56 UTC

Ørsta – 1
Ørsta – 1
Trondheim – 1
Trondheim – 1

KML-Datei  | Interaktive Karte

map

Die Karte zeigt die Peilungen für den Meteor. Die helleren Linien zeigen die Richtungen von den Beobachtungsorten beim Erscheinen des Meteors, und die dunkleren Linien, wo er zuletzt gesehen wurde. Der blaue Pfeil zeigt die sichtbare Bahn des Meteors.

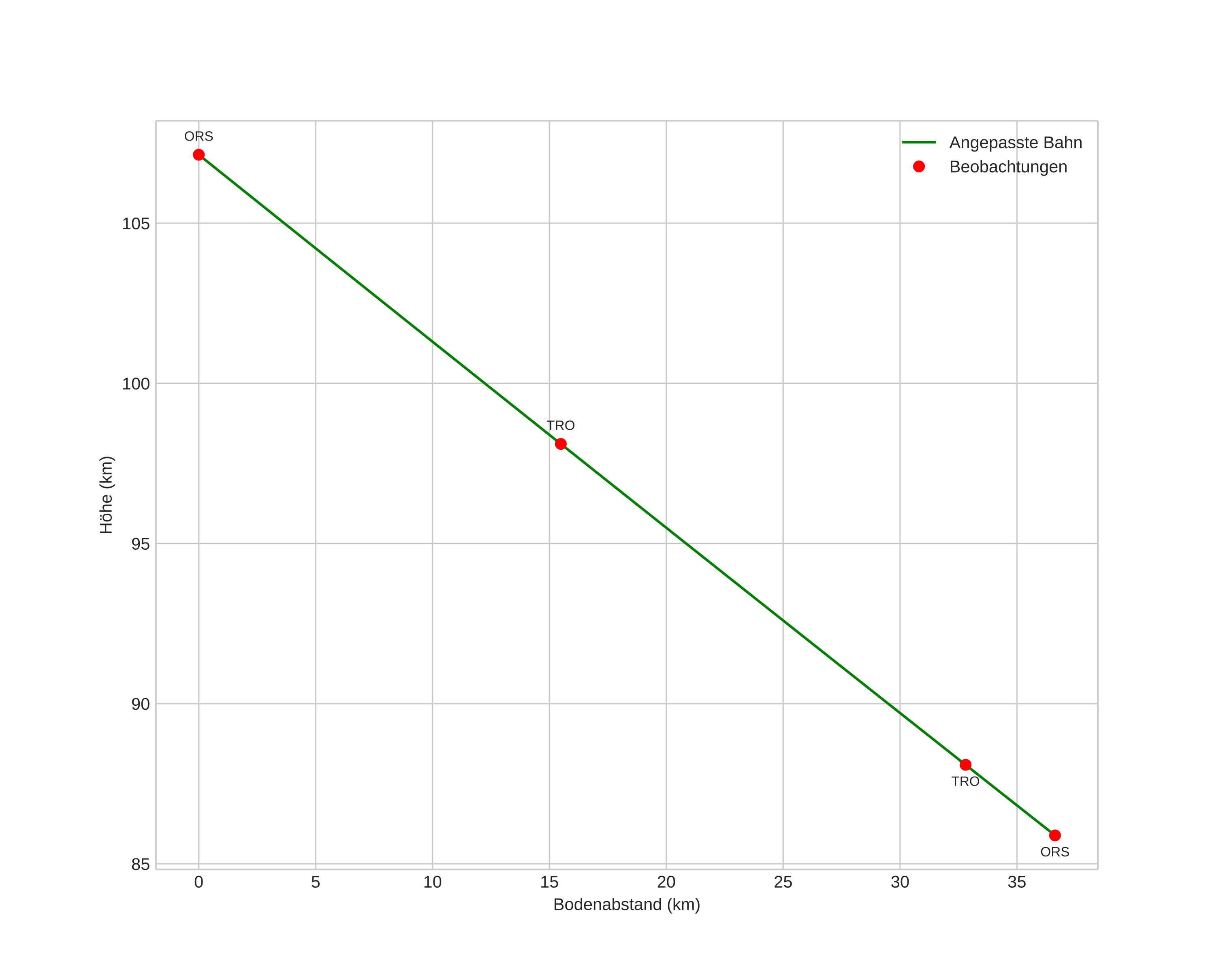
height profile
Atmosphärische Bahn des Meteors:
Anfangshöhe: 107,0 km
Endhöhe: 85,9 km
Startposition: 63,077N 6,853E
Endposition: 63,103N 6,128E
Richtung: 274,8°
Neigungswinkel: 30,0°
Eintrittsgeschwindigkeit: 43,7 km/s
Rektaszension des Radianten: 18:54 (283,6°)
Deklination des Radianten: 23,5°
Meteorstrom: sporadisch
Bahnelemente des Meteoroiden:
Periheldistanz: 0,630 AU
Exzentrizität: 0,971
Inklination: 64,2°
Länge des aufsteigenden Knotens: 320,3°
Argument des Perihels: 105,4°
Mittlere Anomalie: 0,4°
Epoche: 2021 FEB 09 04:22:56
orbit

Nicht-interaktives Diagramm | Interaktives Diagramm

position vs time
speed & acceleration