🇳🇴 🇬🇧 🇩🇪 🇨🇿 🇫🇮

Meteor Nordstrandan yllä 2021-02-09 04:22:56 UTC

Ørsta – 1
Ørsta – 1
Trondheim – 1
Trondheim – 1

KML-tiedosto  | Interaktiivinen kartta

map

Kartta näyttää meteorin suuntahavainnot. Vaaleammat viivat näyttävät suunnat havaintoasemilta meteorin ilmestyessä, ja tummemmat viivat näyttävät, missä se viimeksi nähtiin. Sininen nuoli näyttää meteorin näkyvän lennon.

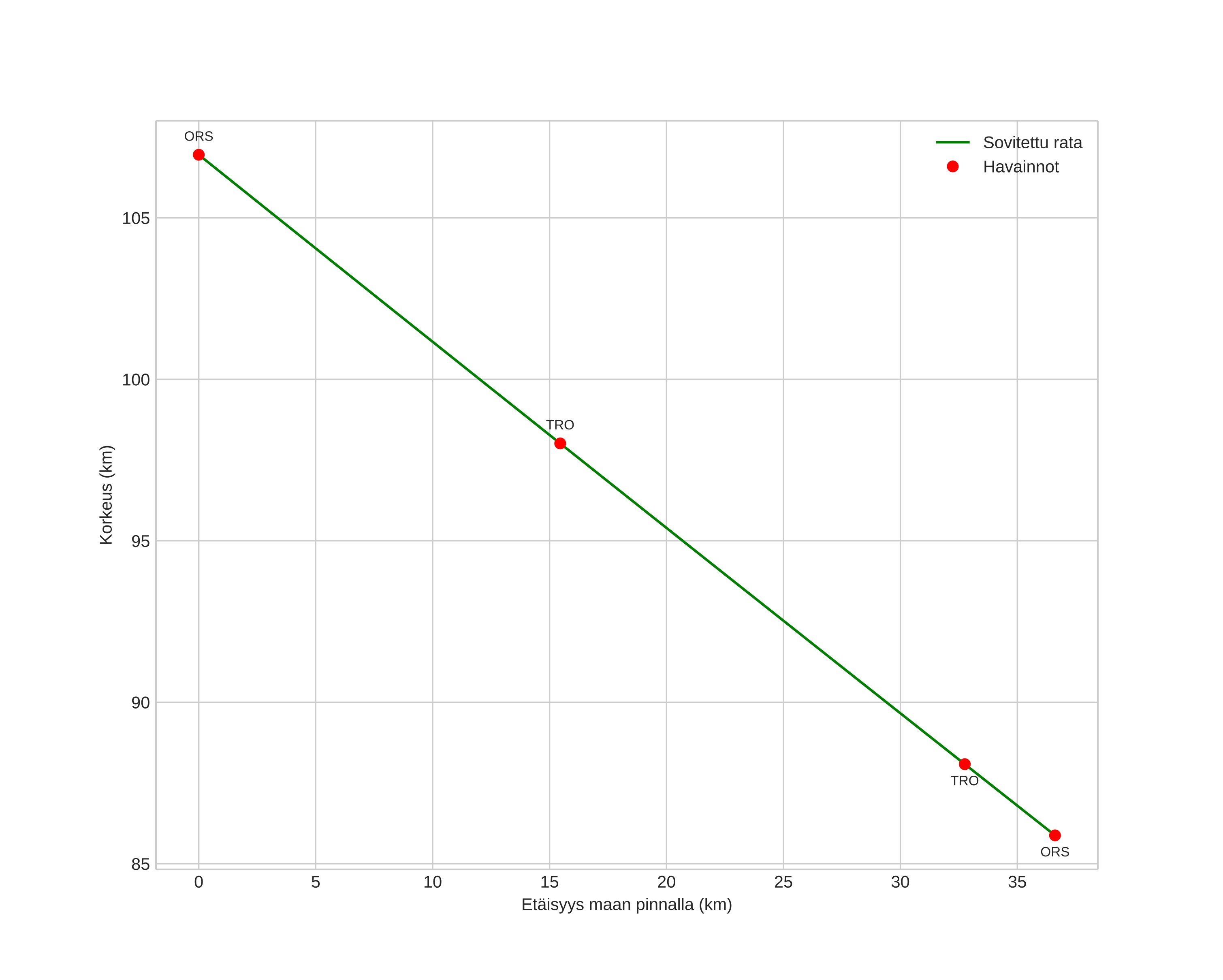
height profile
Meteorin ilmakehärata:
Alkukorkeus: 107,0 km
Loppukorkeus: 85,9 km
Alkupiste: 63,077N 6,853E
Loppupiste: 63,103N 6,128E
Suunta: 274,8°
Kallistuskulma: 30,0°
Tulonopeus: 43,7 km/s
Radiantin R,A,: 18:54 (283,6°)
Radiantin Dekl,: 23,5°
Meteoriparvi: Sporadinen
Meteoroidin rataelementit:
Perihelietäisyys: 0,630 AU
Eksentrisyys: 0,971
Inklinaatio: 64,2°
Nousevan solmun pituus: 320,3°
Perihelin argumentti: 105,4°
Keskianomalia: 0,4°
Epookki: 2021 FEB 09 04:22:56
orbit

Ei-interaktiivinen kuvaaja | Interaktiivinen kuvaaja

position vs time
speed & acceleration