🇳🇴 🇬🇧 🇩🇪 🇨🇿 🇫🇮

Meteor, poloha: Ă…rup 2021-04-20 00:58:25 UTC

Soubor KML  |  InteraktivnĂ­ mapa

Mapa zobrazuje dráhy meteoru. Světlejší čáry ukazují směry od pozorovacích stanic při objevení se meteoru a tmavší čáry, kde byl naposledy viděn. Modrá šipka značí viditelnou dráhu meteoru.

static map
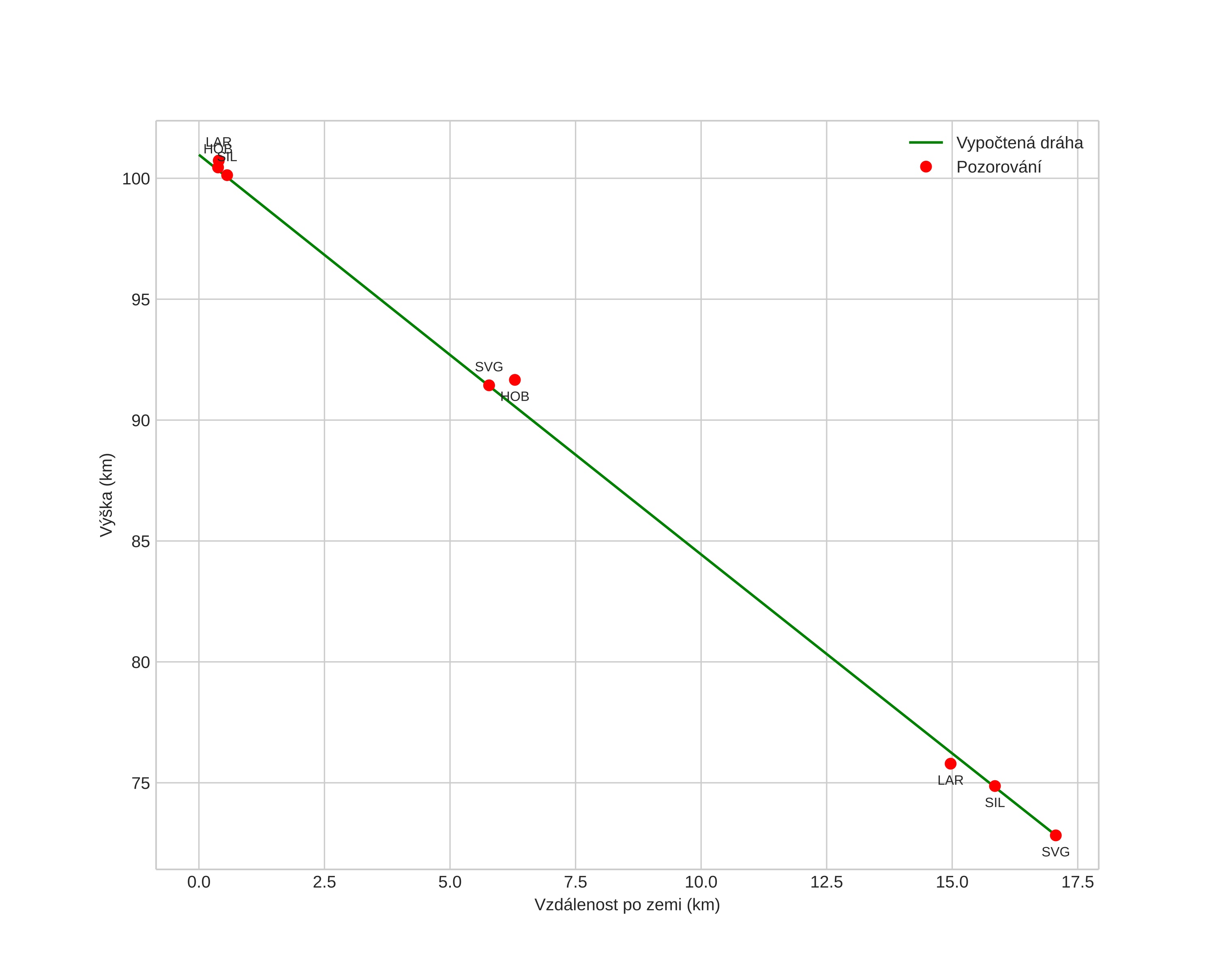
height profile
Atmosférická dráha meteoru:
Počáteční výška: 101,3 km
Konečná výška: 72,7 km
Počáteční poloha: 55,339N 10,343E
Konečná poloha: 55,394N 10,085E
Směr: 290,7°
Sklon: 58,7°
VstupnĂ­ rychlost: 49,3 km/s
Rektascenze radiantu: 18:01 (270,3°)
Deklinace radiantu: 36,4°
MeteorickĂ˝ roj: Lyridy
Elementy dráhy meteoroidu:
Vzdálenost v periheliu: 0,942 AU
Excentricita: 1,160
Sklon dráhy: 78,1°
Délka vzestupného uzlu: 29,9°
Argument perihelia: 207,9°
Střední anomálie: -1,3°
Epocha: 2021 APR 20 00:58:25
orbit plot

NeinteraktivnĂ­ graf | InteraktivnĂ­ graf

position vs time
speed and acceleration