🇳🇴 🇬🇧 🇩🇪 🇨🇿 🇫🇮

Meteor Årupin yllä 2021-04-20 00:58:25 UTC

KML-tiedosto  |  Interaktiivinen kartta

Kartta näyttää meteorin suuntahavainnot. Vaaleammat viivat näyttävät suunnat havaintoasemilta meteorin ilmestyessä, ja tummemmat viivat näyttävät, missä se viimeksi nähtiin. Sininen nuoli näyttää meteorin näkyvän lennon.

static map
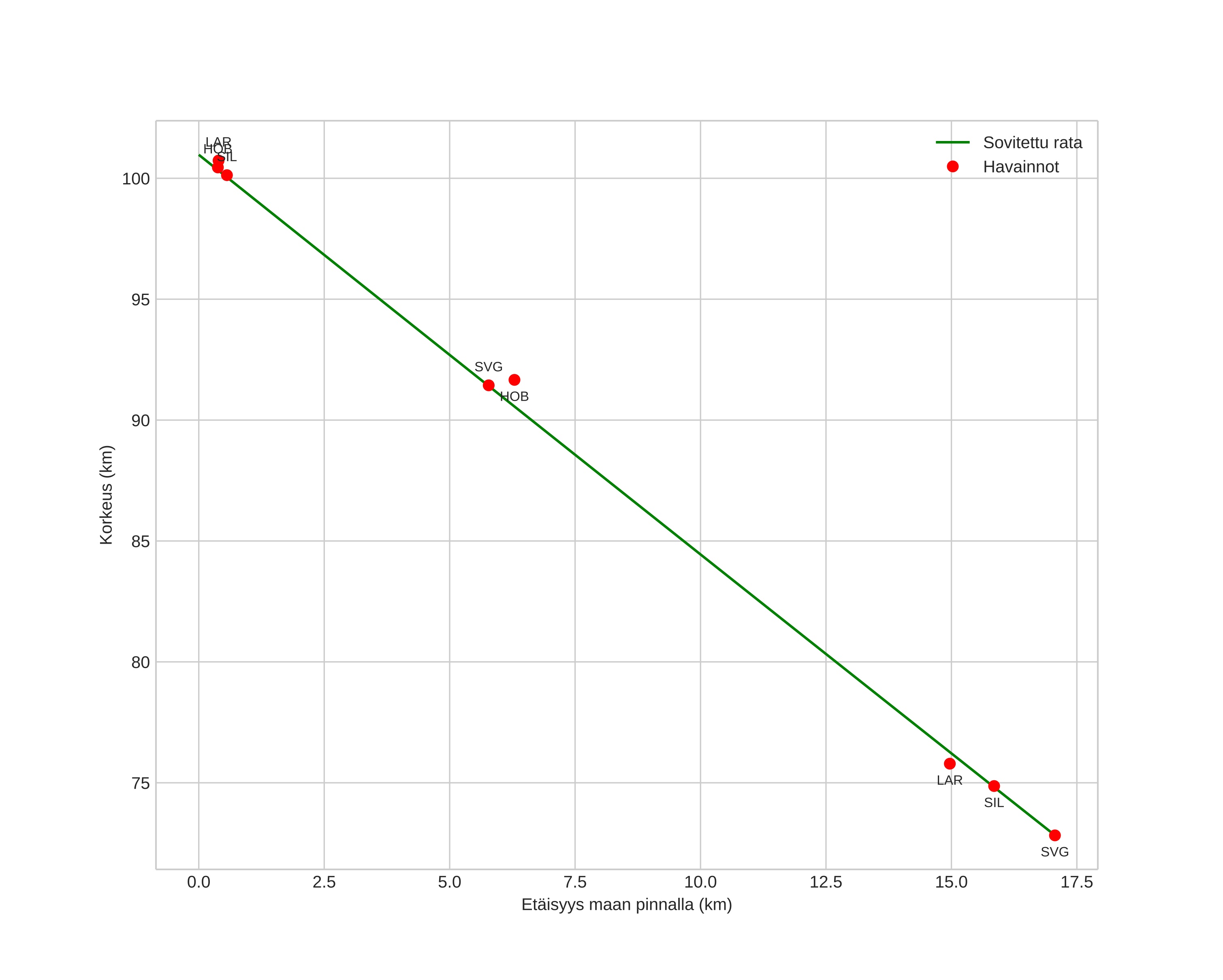
height profile
Meteorin ilmakehärata:
Alkukorkeus: 101,3 km
Loppukorkeus: 72,7 km
Alkupiste: 55,339N 10,343E
Loppupiste: 55,394N 10,085E
Suunta: 290,7°
Kallistuskulma: 58,7°
Tulonopeus: 49,3 km/s
Radiantin R,A,: 18:01 (270,3°)
Radiantin Dekl,: 36,4°
Meteoriparvi: Lyridit
Meteoroidin rataelementit:
Perihelietäisyys: 0,942 AU
Eksentrisyys: 1,160
Inklinaatio: 78,1°
Nousevan solmun pituus: 29,9°
Perihelin argumentti: 207,9°
Keskianomalia: -1,3°
Epookki: 2021 APR 20 00:58:25
orbit plot

Ei-interaktiivinen kuvaaja | Interaktiivinen kuvaaja

position vs time
speed and acceleration