🇳🇴 🇬🇧 🇩🇪 🇨🇿 🇫🇮

Meteor über Årup 2021-04-20 00:58:25 UTC

KML-Datei  |  Interaktive Karte

Die Karte zeigt die Peilungen für den Meteor. Die helleren Linien zeigen die Richtungen von den Beobachtungsorten beim Erscheinen des Meteors, und die dunkleren Linien, wo er zuletzt gesehen wurde. Der blaue Pfeil zeigt die sichtbare Bahn des Meteors.

static map
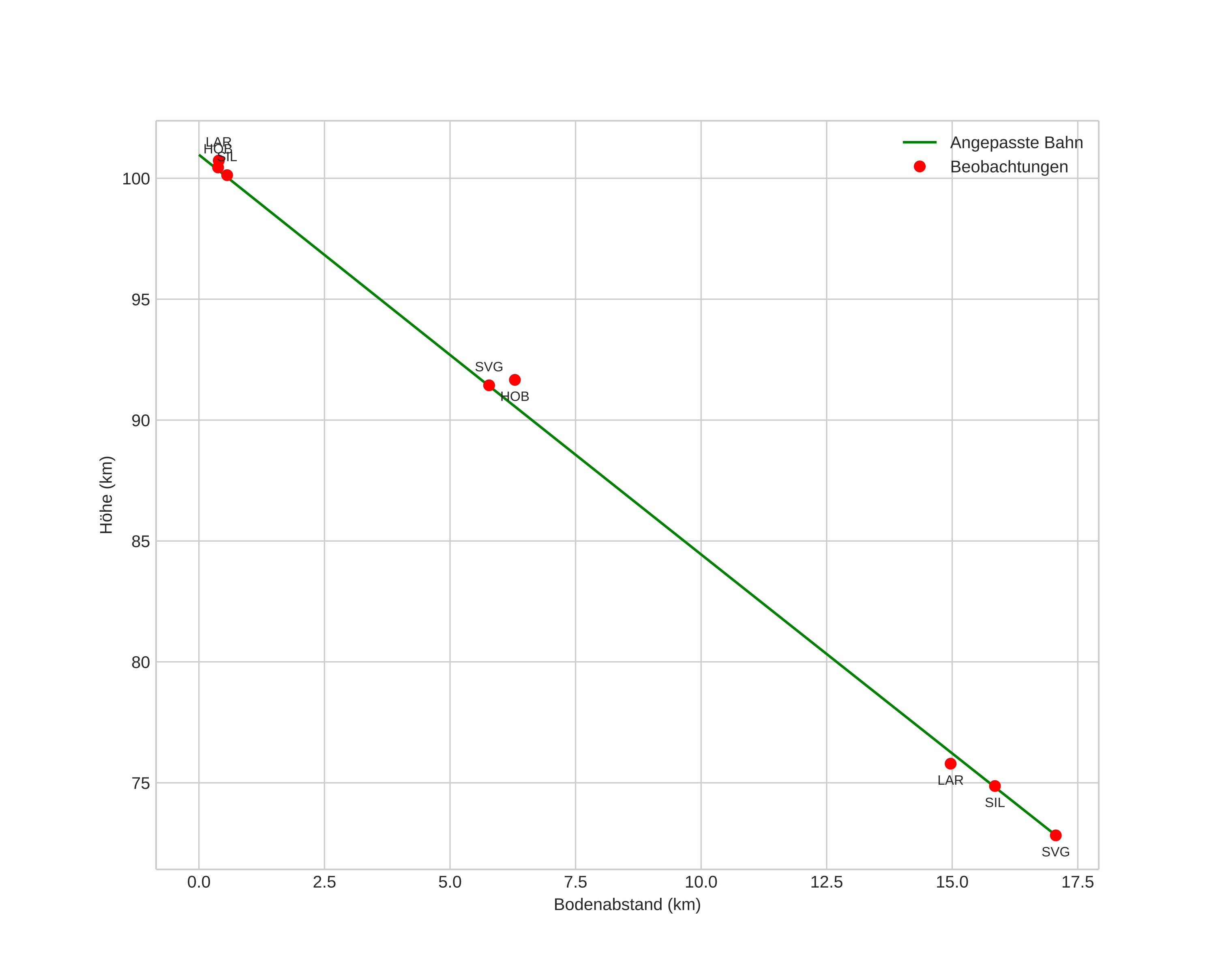
height profile
Atmosphärische Bahn des Meteors:
Anfangshöhe: 101,3 km
Endhöhe: 72,7 km
Startposition: 55,339N 10,343E
Endposition: 55,394N 10,085E
Richtung: 290,7°
Neigungswinkel: 58,7°
Eintrittsgeschwindigkeit: 49,3 km/s
Rektaszension des Radianten: 18:01 (270,3°)
Deklination des Radianten: 36,4°
Meteorstrom: Lyriden
Bahnelemente des Meteoroiden:
Periheldistanz: 0,942 AU
Exzentrizität: 1,160
Inklination: 78,1°
Länge des aufsteigenden Knotens: 29,9°
Argument des Perihels: 207,9°
Mittlere Anomalie: -1,3°
Epoche: 2021 APR 20 00:58:25
orbit plot

Nicht-interaktives Diagramm | Interaktives Diagramm

position vs time
speed and acceleration